
Larawan 1: circuit ng capacitor
Sa mga de -koryenteng circuit, Mga capacitor Maglingkod ng isang layunin para sa parehong pag -iimbak at paglabas ng singil sa kuryente.Mayroon silang dalawang conductive plate na pinaghiwalay ng isang insulating dielectric.Ang kanilang kakayahang humawak ng singil ay sinusukat sa mga farads.

Larawan 2: Capacitor
Ang mga capacitor ay maaaring konektado sa serye o kahanay.Sa serye, mas maraming mga capacitor ang nagbabawas sa pangkalahatang kapasidad, kapaki -pakinabang para sa pagkamit ng mas mababang kapasidad.Kaayon, mas maraming mga capacitor ang nagdaragdag ng kabuuang kapasidad, mainam para sa mataas na kapasidad sa mga maliliit na puwang, tulad ng mga filter ng supply ng kuryente.Ang materyal na dielectric ay nakakaapekto sa pagganap ng isang kapasitor, pagtukoy ng maximum na singil, boltahe ng breakdown, at tugon ng dalas ng circuit.Ang mga advanced na capacitor ay gumagamit ng mga materyales tulad ng ceramic, tantalum, o polymer electrolyte para sa mas mataas na kapasidad, katatagan ng temperatura, at mababang pagtagas.

Larawan 3: Capacitor
Narito ang isang simpleng paliwanag ng kanilang mga pag -aari at kung paano maiayos ang mga pagsasaayos na ito upang makuha ang nais na kapasidad.

Larawan 4: serye ng kapasidad
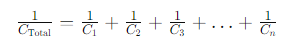
Kapag ikinonekta mo ang mga capacitor sa serye, ang pangkalahatang kapasidad ay makakakuha ng mas maliit.Nangyayari ito dahil ang singil ay kailangang maglakbay sa pamamagitan ng mas maraming materyal, na ginagawang mas mahirap mag -imbak ng singil.Ang kabuuang kapasidad (1/cKabuuan) ay ang kabuuan ng mga gantimpala ng bawat indibidwal na kapasitor (1/c1 + 1/c2 + ... + 1/cn).Ang pangkalahatang kapasidad ay palaging mas mababa kaysa sa pinakamaliit na kapasitor sa serye.Ang pormula para sa pagkalkula ng kabuuang kapasidad sa serye ay:

Ang mga taga -disenyo ng circuit ay dapat isaalang -alang ang tampok na ito kapag pumipili ng mga capacitor upang matugunan ang mga tiyak na kinakailangan sa kapasidad.Ang mga praktikal na hadlang tulad ng mga pangangailangan sa puwang at aplikasyon ay maaaring limitahan ang bilang ng mga capacitor sa serye, at ang iba't ibang mga pamamahagi ng boltahe ay maaaring magdagdag ng pagiging kumplikado maliban kung magkapareho ang mga capacitor.

Larawan 5: Ang kapasidad ay kahanay
Kapag ang mga capacitor ay konektado kahanay, ang kabuuang pagtaas ng kapasidad.Ito ay dahil ang pinagsamang lugar ng ibabaw ng lahat ng mga capacitor ay nagbibigay -daan sa mas maraming singil na maiimbak sa parehong boltahe.Ang kabuuang kapasidad (cKabuuan) ay ang kabuuan ng mga kapasidad ng bawat kapasitor (c1 + C2 + ... + cn).Ang pangkalahatang kapasidad ay magiging mas malaki kaysa sa pinakamalaking solong kapasitor.Ang pormula para sa pagkalkula ng kabuuang kapasidad na kahanay ay:

Bagaman, ang isang walang limitasyong bilang ng mga capacitor ay maaaring konektado sa kahanay, praktikal na mga limitasyon tulad ng pisikal na espasyo, layunin ng circuit, at mga hadlang sa disenyo ay madalas na nililimitahan ang bilang.Ang mga de-kalidad na capacitor na may naaangkop na mga rating ng boltahe at pagpaparaya ay mabuti para sa maaasahang pagganap ng circuit.Pinapayagan ng pormula na ito ang tumpak na kontrol sa mga halaga ng kapasidad, pagpapagana ng mga taga -disenyo na ma -optimize ang pag -uugali ng circuit, kahusayan ng enerhiya, at pagganap, ginagawa itong isang pundasyon ng elektronika at elektrikal na engineering.

Larawan 6: serye at kahanay
Nagtatampok ang isang serye ng circuit circuit na naka -link nang sunud -sunod sa parehong landas, tinitiyak na ang magkaparehong singil o mga alon ay dumadaan sa bawat sangkap.Ginagarantiyahan nito ang pantay na kasalukuyang daloy sa buong mga capacitor, isang pangunahing aspeto para sa pag -unawa sa pag -uugali ng naturang mga circuit.

Larawan 7: Series capacitor circuit
Sa isang pag -setup ng serye, ang bawat kapasitor ay dapat hawakan ang parehong singil.Kapag inilalapat ang isang mapagkukunan ng boltahe ng DC, ang koneksyon ng serye ay nagdidikta na singilin ang muling pamamahagi kasama ang mga capacitor upang mapanatili ang balanse na ito.Halimbawa, kung ang isang mapagkukunan ng boltahe ay konektado sa mga capacitor c1, C2, at c3 Sa mga halaga 2F, 4F, at 6F ayon sa pagkakabanggit, ang mga sumusunod ay nangyayari:
• Ang kanang bahagi ng c3 nagiging positibong sisingilin dahil sa pag -akit ng mga electron patungo sa positibong terminal ng baterya.
• Ang kakulangan ng mga electron sa c3Ang kanang plato ay nagpapahiwatig ng isang katulad na kakulangan sa C2Ang tamang plato, at sunud -sunod na ang parehong epekto ay nangyayari sa C1.
• Ang reaksyon ng chain na ito sa buong mga capacitor ay nagsisiguro ng pantay na pamamahagi ng singil.
Halimbawa:
Ibinigay ang mga kapasidad c1= 2f, c2= 4f, c3= 6F at isang DC boltahe ng 10V, maaari naming matukoy ang pamamahagi ng singil at boltahe:


Larawan 8: Halimbawang serye
Ang pagkalkula ng ctotal ay nagbubunga ng humigit -kumulang na 0.92f.
Ang paggamit ng q = c × v, kung saan ang q ay ang singil at ang V ay ang boltahe:

Kaya, ang bawat kapasitor ay may hawak na singil ng 9.2C.
Ang boltahe sa bawat kapasitor ay matatagpuan gamit ang V = CQ:

Ang kabuuan ng mga indibidwal na boltahe, v1+V2+V3, dapat na katumbas ng pinagmulan ng boltahe (10V).Dito, kinakalkula nito sa humigit -kumulang na 8.43V, na nagpapahiwatig ng isang posibleng pag -ikot o error sa pagkalkula sa aming paunang mga pagtatantya o pagpapalagay.
Ang isang parallel capacitor circuit ay isang elektronikong pag-setup kung saan ang mga capacitor ay konektado sa magkatabi sa mga karaniwang puntos, na nagpapahintulot sa bawat isa na gumana nang nakapag-iisa sa ilalim ng parehong boltahe.Ito ay naiiba sa mga serye ng circuit, kung saan ang mga capacitor ay nagbabahagi ng singil.

Larawan 9: Parallel capacitor circuit
Sa isang kahanay, ang boltahe sa buong bawat kapasitor ay pareho.Gayunpaman, ang singil sa bawat tindahan ng kapasitor ay nag -iiba batay sa kapasidad nito.Ang isang mas mataas na kapasidad ay nangangahulugang ang isang kapasitor ay maaaring mag -imbak ng mas maraming singil.Halimbawa, kung mayroon tayong mga capacitor ng 8 Farads (F) at 4F, ang 8F capacitor ay mag -iimbak ng mas maraming singil kaysa sa 4F capacitor kapag pareho ang nasa ilalim ng parehong boltahe.
Ang isang pangunahing bentahe ng mga kahanay na capacitor ay ang pagtaas sa pangkalahatang kapasidad.Hindi tulad ng mga serye ng circuit, kung saan ang kabuuang kapasidad ay mas mababa sa anumang indibidwal na kapasitor, kahanay, ang kabuuang kapasidad ay ang kabuuan ng lahat ng mga indibidwal na kapasidad.Nangyayari ito dahil ang plate area ay epektibong tumataas nang hindi binabago ang distansya sa pagitan nila, pagpapahusay ng kakayahan ng circuit na mag -imbak ng singil.
Halimbawa:

Larawan 10: halimbawang kahanay
Isaalang -alang ang isang circuit na may tatlong mga capacitor na konektado kahanay sa isang mapagkukunan ng 10V DC.Ang mga capacitor ay may mga kapasidad na ito: c1 = 8f, c2 = 4f, at c3 = 2f.Ang bawat kapasitor ay nakakaranas ng parehong 10V, ngunit nag -iimbak ng iba't ibang mga singil batay sa kanilang kapasidad:
Kapasitor c1: Sa pamamagitan ng 8F, nag -iimbak ito ng singil ng 80 coulombs (C), na kinakalkula bilang Q = C × V, na kung saan ay 8F × 10V = 80C.
Kapasitor c2: Sa 4F, nag -iimbak ito ng singil ng 40C, kinakalkula bilang 4F × 10V = 40C.
Kapasitor c3: Sa 2F, nag -iimbak ito ng singil ng 20C, kinakalkula bilang 2F × 10V = 20C.
Ang kabuuang singil sa circuit ay ang kabuuan ng lahat ng mga singil: QT= Q1+Q2+Q3= 80C+40C+20C = 140C
Ang karagdagan na ito ay nagpapakita kung paano ang isang kahanay na circuit circuit ay nagpapabuti sa pag -iimbak ng singil sa pamamagitan ng pagsasama ng kapasidad ng mga indibidwal na capacitor.Ang isang parallel capacitor circuit ay nagdaragdag ng kabuuang kapasidad at kapasidad ng pag -iimbak ng singil, na ang bawat kapasitor ay nakakaranas ng parehong boltahe.
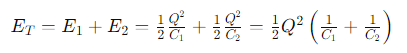
Upang maunawaan kung paano naka -imbak ang enerhiya sa mga capacitor na nakaayos sa serye o kahanay, nagsisimula kami sa pangunahing pormula para sa enerhiya na nakaimbak sa isang solong kapasitor:

Dito, uC ay ang enerhiya sa joules, ang Q ay ang singil sa mga coulomb, at ang c ay ang kapasidad sa mga farads.
Para sa mga capacitor sa serye, isaalang -alang ang dalawang capacitor na may kapasidad C1 at C2.Ang ugnayan sa pagitan ng singil at boltahe para sa bawat kapasitor ay ibinibigay ng C = VQ.Sa isang pagsasaayos ng serye, ang parehong singil q ay nasa bawat kapasitor:

Ang kabuuang enerhiya na nakaimbak sa system ay ang kabuuan ng mga indibidwal na energies:

Ipinapakita nito na ang epektibong kapasidad ng mga capacitor ng serye ay ang gantimpala na kabuuan ng mga indibidwal na kapasidad, na binabawasan ang kabuuang kapasidad at binabago ang pag -iimbak ng enerhiya kumpara sa solong o kahanay na mga pagsasaayos.
Para sa mga capacitor na kahanay, ang bawat kapasitor ay may parehong boltahe sa kabuuan nito.Ang enerhiya para sa bawat isa ay maaaring maipahayag gamit ang formula na batay sa boltahe:

Kung ang dalawang capacitor c1 at c2 ay kahanay at may parehong boltahe V sa kabuuan nila, ang kanilang kabuuang imbakan ng enerhiya ay:

Ang pagkalkula na ito ay nagpapakita na ang kabuuang kapasidad para sa mga kahanay na capacitor ay ang kabuuan ng mga indibidwal na kapasidad, na pinatataas ang kabuuang enerhiya na nakaimbak kumpara sa mga pagsasaayos ng indibidwal o serye.
Ang paggamit ng mga capacitor sa serye ay nag -aalok ng ilang mga pakinabang, kabilang ang isang pagtaas ng pangkalahatang boltahe sa pagtatrabaho.Pinapayagan din ng pagsasaayos na ito para sa mas epektibong pagbabalanse ng boltahe, lalo na kung ang mga resistor na may mataas na halaga (sa paligid ng 100kΩ o mas mataas) ay inilalagay sa bawat kapasitor upang matiyak ang isang mas pamamahagi ng boltahe.
Ang paggamit ng mga capacitor sa serye ay may mga kawalan, kabilang ang isyu ng hindi pantay na pagbabahagi ng boltahe.Ang mga pagkakaiba-iba sa mga alon ng pagtagas, lalo na sa mga capacitor ng electrolytic, ay maaaring magresulta sa isang kapasitor na nakakaranas ng labis na boltahe, na maaaring humantong sa pinsala.Ang mga menor de edad na pagkakaiba sa mga rate ng pagmamanupaktura o pag -iipon ay nag -aambag din sa mga pagkakaiba -iba sa kasalukuyang pagtagas, na nakakaapekto sa pamamahagi ng boltahe.Ang leakage kasalukuyang sa electrolytic capacitor ay may posibilidad na tumaas sa paglipas ng panahon, lalo na kung hindi ito regular na ginagamit.Kahit na sa mga resistors sa pagbabalanse sa lugar, kailangan na mag -iwan ng margin sa nagtatrabaho boltahe, lalo na para sa mga capacitor ng electrolytic, upang matiyak ang maaasahang operasyon.
Nadagdagan ang Pag -iimbak ng Enerhiya: Ang pagkonekta ng mga capacitor sa magkatulad na tindahan ng mas maraming enerhiya kaysa sa kung kailan sila nasa serye dahil ang kanilang kabuuang kapasidad ay ang kabuuan ng lahat ng mga indibidwal na capacitor.
Mas mahusay na balanse ng boltahe: Ang mga parallel na bangko ng kapasitor ay nakamit ang mas mahusay na balanse ng boltahe na may mas kaunting mga resistors sa pagbabalanse, pagbabawas ng mga gastos at pagkalugi ng kuryente.
Kahusayan ng Gastos: Mas kaunting mga resistor ng pagbabalanse sa magkatulad na koneksyon makatipid ng pera at gawing simple ang system.
Limitasyon ng Boltahe: Sa isang kahanay na circuit, ang lahat ng mga capacitor ay nagbabahagi ng parehong boltahe.Ang maximum na boltahe ay limitado ng pinakamababang-rate na kapasitor.Halimbawa, kung ang isang kapasitor ay na -rate sa 200V at iba pa sa 500V, ang buong sistema ay maaari lamang hawakan ang 200V.
Mga peligro sa kaligtasan: Ang mga parallel capacitor ay nag -iimbak at naglalabas ng malaking halaga ng enerhiya nang mabilis, na maaaring mapanganib kung mayroong isang maikling circuit, na potensyal na nagdudulot ng matinding pinsala at pinsala.
Panganib sa pagkabigo ng system: Sa mga kumplikadong layout, kung nabigo ang isang kapasitor, dapat hawakan ng iba ang buong boltahe, na humahantong sa potensyal na pagkabigo ng buong sistema.Ang panganib na ito ay mas mababa sa mga koneksyon sa serye kung saan ang pagkabigo ng isang kapasitor ay hindi nakakaapekto sa iba.
Ang detalyadong pagtingin sa mga capacitor ay tumutulong sa amin na maunawaan ang kanilang mga pag -andar at ang mahalagang pagsasaalang -alang para sa kanilang paggamit sa mga modernong elektronika.Ang mga pag -setup ng serye ay nagdaragdag ng boltahe ng pagtatrabaho at pamahalaan ang pamamahagi ng boltahe ngunit bawasan ang kapasidad at dagdagan ang pagiging sensitibo sa mga pagkakaiba -iba.Ang mga paralel na pag -setup ay nagpapalakas ng kabuuang kapasidad at pag -iimbak ng enerhiya, na mabuti para sa pamamahala ng enerhiya sa mga maliliit na puwang, ngunit maaari silang mapanganib kung ang isang kapasitor ay nabigo.Ang pagpili sa pagitan ng mga serye at kahanay na mga pagsasaayos ay nakasalalay sa mga tiyak na pangangailangan sa engineering, puwang sa pagbabalanse, gastos, at pagganap.Ang teoretikal at praktikal na pananaw ay binibigyang diin ang maingat na pagpili ng kapasitor at disenyo ng circuit upang matiyak ang maaasahan at mahusay na mga sistemang elektrikal.
Ang mga capacitor ng serye ay pangunahing ginagamit upang mabawasan ang impedance ng isang circuit sa mas mataas na mga frequency, na nagpapabuti sa paghahatid ng kuryente sa mga malalayong distansya at nagpapahusay ng regulasyon ng boltahe.Kapag ang mga capacitor ay konektado sa serye, bumababa ang kabuuang kapasidad.Pinipilit ng pagsasaayos na ito ang parehong singil upang maipasa ang lahat ng mga capacitor, na nagreresulta sa isang dibisyon ng kabuuang boltahe sa bawat kapasitor ayon sa halaga ng kapasidad nito.Ang katangian na ito ay partikular na kapaki -pakinabang sa mga application tulad ng signal pagkabit at pag -filter, kung saan ang layunin ay upang hadlangan ang direktang kasalukuyang (DC) habang pinapayagan ang alternating kasalukuyang (AC).
Ang mga capacitor ng serye ay ginagamit kapag may pangangailangan upang ayusin ang impedance ng isang circuit, lalo na sa mga application na may mataas na dalas.Nagtatrabaho din sila upang makamit ang dibisyon ng boltahe sa isang circuit.Sa mga sistema ng kuryente, ang mga capacitor ng serye ay ginagamit upang madagdagan ang kapasidad ng mga linya ng paghahatid ng kuryente sa pamamagitan ng pagbabayad para sa induktibong reaksyon sa mahabang mga linya ng paghahatid, kaya pinapayagan ang mas maraming kasalukuyang dumaloy sa ilalim ng parehong mga kondisyon ng boltahe.
Ang dalawang capacitor ay nasa serye kung sila ay konektado end-to-end, na may positibong terminal ng isang konektado sa negatibong terminal ng iba pa, at mayroon lamang dalawang puntos ng koneksyon na kinasasangkutan ng iba pang mga sangkap ng circuit.Tinitiyak ng pag -aayos na ito na ang singil at paglabas ng kasalukuyang dumadaloy sa kanila ay pareho.Ang kabuuang kapasidad ay maaari ring kalkulahin upang kumpirmahin ito;Para sa mga capacitor ng serye, ang gantimpala ng kabuuang kapasidad ay ang kabuuan ng mga gantimpala ng mga indibidwal na kapasidad.
Kapag ang mga capacitor ay konektado kahanay, ang kabuuang kapasidad ng pagtaas ng circuit.Pinapayagan ng pagsasaayos na ito ang bawat kapasitor na hawakan ang parehong boltahe, na humahantong sa isang akumulasyon ng kapasidad ng singil sa buong mga capacitor.Ang mga parallel capacitor ay madalas na ginagamit upang patatagin ang boltahe at mag -imbak ng mas maraming singil sa mga system kung saan kinakailangan ang isang mas mataas na kapasidad nang hindi pinatataas ang rating ng boltahe ng mga indibidwal na capacitor.
Ang pagsasaayos mismo ay hindi tataas ang orihinal na boltahe ng supply;Gayunpaman, ang pamamahagi ng boltahe sa loob ng circuit ay nag -iiba.Sa isang pagsasaayos ng serye, ang boltahe ay nahahati sa mga capacitor depende sa kanilang mga indibidwal na kapasidad.Sa kaibahan, sa isang kahanay na pagsasaayos, ang boltahe sa bawat kapasitor ay nananatiling pareho ng boltahe ng supply.
Oo, sa isang kahanay na circuit, ang boltahe sa bawat kapasitor ay pareho at katumbas ng kabuuang boltahe na ibinibigay sa circuit.Ang pantay na pamamahagi ng boltahe na ito ay gumagawa ng magkakatulad na mga capacitor na mainam para sa mga aplikasyon na nangangailangan ng pare -pareho na boltahe sa maraming mga sangkap.
Mangyaring magpadala ng isang pagtatanong, tutugon kami kaagad.
sa 2024/06/11
sa 2024/06/11
sa 8000/04/18 147757
sa 2000/04/18 111931
sa 1600/04/18 111349
sa 0400/04/18 83719
sa 1970/01/1 79508
sa 1970/01/1 66881
sa 1970/01/1 63010
sa 1970/01/1 62976
sa 1970/01/1 54081
sa 1970/01/1 52107