
Larawan 1: Kasalukuyang mga ratios sa mga circuit
Sa magkatulad na mga circuit, ang kasalukuyang paghahati sa iba't ibang mga sanga batay sa pagtutol ng bawat sangay.Ang konsepto na ito ay kahawig ng mga divider ng boltahe ngunit naaangkop sa mga alon sa halip.Ang kasalukuyang dumadaloy sa anumang risistor sa circuit, tulad ng R1 kumpara sa R3, ay nagpapanatili ng isang nakapirming ratio, kahit na nagbabago ang boltahe ng mapagkukunan.Halimbawa, kung ang kasalukuyang sa pamamagitan ng R1 ay palaging dalawang beses sa R3, ang ratio na ito ay nananatiling matatag anuman ang pagbabagu -bago sa boltahe ng mapagkukunan.Ang mahuhulaan na pag -uugali na ito ay ipinaliwanag ng batas ng Ohm, na nagsasaad na ang kasalukuyang sa pamamagitan ng isang risistor sa isang kahanay na circuit ay kabaligtaran na proporsyonal sa paglaban nito.
Ang mga parallel circuit ay nagsisilbing kasalukuyang mga divider, na naghahati ng kabuuang kasalukuyang mula sa mapagkukunan sa mga bahagi na inversely na nauugnay sa mga resistensya.Maaari itong ipahayag sa matematika bilang
saan
ay ang kasalukuyang sa pamamagitan ng risistor
at
ay ang patuloy na boltahe sa lahat ng mga kahanay na sangkap.Ang ugnayang ito ay nagpapakita na ang kasalukuyang dibisyon sa isang kahanay na circuit ay nakasalalay hindi lamang sa mga halaga ng paglaban kundi pati na rin sa prinsipyo ng kasalukuyang pag -iingat, na nagdidikta na ang kabuuang kasalukuyang pagpasok ng isang kantong ay katumbas ng kabuuang kasalukuyang pag -iwan nito.

Larawan 2: Kasalukuyang formula ng divider
Ang kasalukuyang formula ng divider ay isang pangunahing konsepto sa elektrikal na engineering para sa pagsusuri ng kasalukuyang mga daloy sa magkatulad na resistive circuit.Ipinapakita nito na ang kasalukuyang sa pamamagitan ng anumang sangay sa isang kahanay na circuit ay kabaligtaran na proporsyonal sa paglaban ng sangay na iyon, kumpara sa kabuuang paglaban ng lahat ng mga sanga.Makakatulong ito na gawing simple ang proseso ng pagtukoy kung paano ipinamamahagi ang kasalukuyang sa iba't ibang mga landas sa isang circuit.
Upang maipahayag ang dami na ito, ang kasalukuyang sa pamamagitan ng isang risistor sa isang kahanay na circuit ay kinakalkula gamit ang:

Dito,
ay ang kabuuang kasalukuyang pagpasok sa kahanay na network,
ay ang katumbas na paglaban ng kahanay na network, at
kumakatawan sa paglaban ng bawat sangay., Kinakalkula ng:

Ang pormula na ito ay kinakailangan para sa mga inhinyero at technician dahil pinapayagan silang hulaan ang kasalukuyang sa anumang sangay ng isang kahanay na circuit nang hindi sinusukat ang boltahe sa bawat sangkap.Higit pa sa pagpapagaan ng mga kalkulasyon, nakakatulong ito sa mga disenyo ng mga circuit na may nais na kasalukuyang mga katangian.Ang pag -optimize na ito ay pabago -bago para sa pagpapahusay ng pagganap ng mga system tulad ng mga suplay ng kuryente at tinitiyak ang kaligtasan sa pamamagitan ng pagtiyak na ang mga sangkap ay gumana sa loob ng kanilang kasalukuyang mga limitasyon.

Larawan 3: Kasalukuyang mga formula ng Divider at Boltahe Divider
Ang pag -unawa sa mga pagkakaiba at pagkakapareho sa pagitan ng boltahe at kasalukuyang mga equation ng divider ay makakatulong upang maiwasan ang mga pagkakamali tulad ng hindi wastong paglalapat ng mga ratios ng risistor.Ang parehong mga formula ay namamahagi ng isang kabuuang input (kasalukuyang o boltahe) sa mga sangkap batay sa kanilang mga resistensya, ngunit nagpapatakbo sila sa ilalim ng iba't ibang mga kondisyon at gumagamit ng natatanging mga diskarte sa paglaban.
Ang kasalukuyang pormula ng divider ay ginagamit sa kahanay na mga circuit upang mahanap ang kasalukuyang sa pamamagitan ng isang partikular na sangay.Ipinapakita nito na ang kasalukuyang sa isang sangay ay kabaligtaran na proporsyonal sa paglaban nito kumpara sa kabuuang kahanay na pagtutol.Nangangahulugan ito na ang mga sanga na may mas mababang pagtutol ay magdadala ng isang mas mataas na proporsyon ng kabuuang kasalukuyang.Ang formula ng boltahe ng divider ay nalalapat sa mga serye ng circuit at kinakalkula ang boltahe sa isang tiyak na sangkap.Ipinapahiwatig nito na ang boltahe sa kabuuan ng isang sangkap ay proporsyonal sa paglaban nito kumpara sa kabuuang paglaban ng serye.Samakatuwid, ang mga sangkap na may mas mataas na pagtutol ay magkakaroon ng mas malaking bahagi ng kabuuang pagbagsak ng boltahe.
Ang parehong mga formula ay lumikha ng mga ratios ng key, mas mababa sa isa, na nagtatampok ng kanilang pag -andar bilang mga divider.Hatiin nila ang isang input (kasalukuyang o boltahe) sa mas maliit, proporsyonal na mga bahagi kaysa sa pagtaas ng mga halaga.Ang pagkilala kung ang isang circuit ay nasa serye o kahanay ay kinakailangan para sa paggamit ng tamang pormula.Ang pagkakaiba na ito ay tumutukoy kung paano nahahati ang input - current sa mga kahanay na landas o boltahe kasama ang isang landas ng serye.
Ang mga kasalukuyang divider ay kinakailangan sa mga circuit ng electric meter, na nagpapagana ng tumpak na kontrol ng kasalukuyang daloy upang masukat nang tumpak ang paggamit ng elektrikal.Ang mga circuit na ito ay madalas na nangangailangan ng pagdidirekta ng isang tiyak na bahagi ng kasalukuyang sa pamamagitan ng isang sensitibong instrumento, na nakamit gamit ang isang shunt risistor na kinakalkula sa kasalukuyang formula ng divider.
Isaalang -alang ang isang electric meter na idinisenyo upang masukat ang mga malalaking alon na hindi direktang mahawakan ng mga karaniwang instrumento.Sa pamamagitan ng paglalagay ng isang shunt risistor na kahanay sa aparato ng pagsukat, tinitiyak ng kasalukuyang formula ng divider na isang ligtas, paunang natukoy na bahagi ng kasalukuyang daloy sa pamamagitan ng metro.

Ang pagkalkula ay nagsasangkot ng pagpili ng isang halaga ng risistor ng shunt na, na sinamahan ng paglaban ng metro, naaangkop na naghahati sa kasalukuyang.Dito,
ay ang kabuuang kasalukuyang,
ay ang paglaban ng metro, at
ay ang paglaban ng shunt risistor.Sa pamamagitan ng maingat na pagpili
, Maaaring kontrolin ng mga inhinyero ang kasalukuyang dumadaloy sa metro, tinitiyak na nananatili ito sa loob ng ligtas na mga limitasyon sa pagpapatakbo habang nagbibigay ng tumpak na data para sa kabuuang mga kalkulasyon sa paggamit ng kuryente.

Larawan 4: Kasalukuyang Divider Rule
Ang pagkalkula ng kasalukuyang pamamahagi sa mga kahanay na circuit gamit ang kasalukuyang panuntunan ng divider (CDR) ay nangangailangan ng isang sistematikong diskarte upang matiyak ang kawastuhan at pagiging maaasahan.
Hakbang 1: Patunayan ang pagsasaayos ng circuit
Una, kumpirmahin na ang circuit ay nakaayos nang magkatulad.Ang CDR ay nalalapat lamang sa kahanay na mga circuit kung saan ang boltahe sa lahat ng mga sangkap ay pareho, ngunit ang mga alon ay maaaring mag -iba batay sa mga halaga ng paglaban.
Hakbang 2: Alamin ang kabuuang kasalukuyang
Susunod, kilalanin ang kabuuang kasalukuyang pagpasok sa kahanay na circuit.Maaari itong masukat nang direkta mula sa pang -eksperimentong data o nagmula gamit ang batas ng OHM.Kung gumagamit ng batas ng OHM, kalkulahin ang kabuuang kasalukuyang sa pamamagitan ng paghati sa kabuuang boltahe sa pamamagitan ng katumbas na pagtutol ng circuit.
Hakbang 3: Kalkulahin ang katumbas na paglaban
Kalkulahin ang kabuuang paglaban ng mga kahanay na sanga.Ginagawa ito sa pamamagitan ng paghahanap ng gantimpala ng kabuuan ng mga gantimpala ng lahat ng mga indibidwal na resistensya:
Hakbang 4: Kalkulahin ang kasalukuyang para sa bawat sangay
Para sa bawat sangay sa circuit, ilapat ang formula ng CDR upang matukoy ang mga indibidwal na alon:
saan
ay ang paglaban ng sangay na nasuri.
Hakbang 5: Ulitin para sa maraming mga sanga
Kung ang circuit ay may maraming mga sanga, ulitin ang pagkalkula para sa bawat isa.Tiyakin na ang lahat ng mga resistensya at alon ay accounted nang tumpak.
Hakbang 6: Patunayan at patunayan
Sa wakas, i -verify ang mga kalkulasyon sa pamamagitan ng pagsuri na ang kabuuan ng mga alon sa lahat ng mga sanga ay katumbas ng kabuuang kasalukuyang pagpasok sa circuit.Ito ay nakahanay sa prinsipyo ng pag -iingat ng kasalukuyang.Bilang karagdagan, kumpirmahin ang ipinapalagay na mga polarities at kasalukuyang mga direksyon upang maiwasan ang mga pagkakamali sa pagsukat o interpretasyon.
Ang kasalukuyang panuntunan ng divider (CDR) ay kinakailangan para sa tumpak na kasalukuyang pamamahagi sa iba't ibang mga aplikasyon ng elektrikal na engineering, na naglalaro ng isang makabuluhang papel sa epektibong disenyo at pamamahala ng circuit.Ito ay partikular na mahalaga sa paghawak ng hindi pantay na pag -load sa mga kahanay na circuit, kung saan nagbibigay ito ng tumpak na mga hula ng kasalukuyang daloy sa bawat sangay.Tinitiyak nito na ang mga sangkap ay wastong na -rate at maaaring hawakan ang kanilang mga tiyak na alon nang walang panganib ng labis na karga, na seryoso sa mga circuit na may mga sanga na nakakaranas ng iba't ibang mga kasalukuyang naglo -load.Bilang karagdagan, ang CDR ay nakatutulong sa pagkontrol sa pagwawaldas ng kuryente sa mga circuit kung saan ang sobrang pag-init ay maaaring magdulot ng pinsala, pagtulong sa katatagan at kahusayan ng mga aplikasyon ng high-power tulad ng mga yunit ng supply ng kuryente at mga sistema ng kontrol sa motor.
Ang CDR ay mayroon ding mga pakinabang sa mga kumplikadong circuit na may maraming mga sanga.Pinapayagan nitong maunawaan ng mga inhinyero kung paano ipinamamahagi ang kasalukuyang sa iba't ibang mga landas, na kapaki -pakinabang para sa pag -optimize ng layout ng circuit at pagpili ng mga naaangkop na sangkap.Ang malalim na pananaw na ito ay tumutulong na matiyak na ang bawat bahagi ng circuit ay nagpapatakbo sa loob ng ligtas na mga limitasyon, isang pangangailangan sa panahon ng yugto ng disenyo, pagpapanatili, at pag -aayos.Sa pangkalahatan, ang kakayahan ng CDR na mag -forecast at pamahalaan ang mga alon ay malaki ang naambag sa pagiging maaasahan at kaligtasan ng mga sistemang elektrikal.

Larawan 5: Resistive Kasalukuyang Divider
Ang resistive kasalukuyang mga circuit ng divider ay pangunahing sa electrical engineering, na naglalarawan kung paano namamahagi ang mga alon sa kahanay na mga pag -setup.Ang mga circuit na ito ay karaniwang nagsasangkot ng dalawa o higit pang mga resistors na kahanay, ang bawat isa ay tumatanggap ng isang bahagi ng kabuuang kasalukuyang pag -input, na pagkatapos ay muling pag -recombines sa punto ng pagbabalik sa pinagmulan.
Ang pagpapatakbo ng resistive kasalukuyang divider ay nakasalalay sa kasalukuyang batas ni Kirchhoff, na nagsasaad na ang kabuuang kasalukuyang pagpasok ng isang kantong ay katumbas ng kabuuang kasalukuyang pag -iwan nito.Tinitiyak nito na ang kabuuan ng mga alon sa pamamagitan ng bawat kahanay na landas ay katumbas ng paunang kasalukuyang pagpasok sa circuit.
Ang batas ng Ohm ay makabuluhan din sa mga circuit na ito, na nagbibigay ng pamamaraan upang makalkula ang kasalukuyang sa pamamagitan ng bawat risistor.Dahil ang boltahe sa lahat ng mga resistors sa isang kahanay na circuit ay pare -pareho, ang batas ng ohm ay nagbibigay -daan para sa madaling pagkalkula ng kasalukuyang sa bawat sangay:
saanV ay ang boltahe sa buong resistors, at Rx ay ang paglaban ng isang tiyak na sangay.
Ang resistive kasalukuyang mga circuit ng divider ay prangka na mga halimbawa ng kasalukuyang dibisyon.Sa mga praktikal na termino, ang pagsusuri kung paano makontrol ang mga alon na ito ay kinakailangan para sa pagdidisenyo ng mga circuit na nangangailangan ng tumpak na kasalukuyang mga antas sa pamamagitan ng iba't ibang mga sangkap.Halimbawa, sa mga system kung saan ang iba't ibang mga sangkap ay nangangailangan ng mga tiyak na kasalukuyang antas upang gumana nang mabuti, ang isang resistive kasalukuyang divider ay maaaring maglaan ng tamang mga alon batay sa mga halaga ng paglaban.
Ang isang mahusay na paraan upang pag -aralan ang kasalukuyang mga circuit ng divider ay sa pamamagitan ng paggamit ng pag -uugali sa halip na pagtutol.Ang pag -uugali, ang gantimpala ng paglaban, ay pinapasimple ang proseso ng pag -unawa sa kasalukuyang pamamahagi sa magkatulad na mga circuit ng resistor.
Sa mga parallel circuit, ang pagkalkula ng kabuuang pag -uugali ay prangka.Ang kabuuang pag -uugaliGKabuuan ay ang kabuuan ng mga pag -uugali ng bawat kahanay na resistor:
saan
ay ang mga pag -uugali ng magkakatulad na resistors.
Kapag alam mo ang kabuuang pag -uugali, ang paghahanap ng kasalukuyang sa pamamagitan ng bawat sangay ay nagiging mas madali.Ang kasalukuyang Ixsa isang sangay na may pag -uugaliGx ay ibinigay ng:

Pinapayagan ng pormula na ito ang direktang pagkalkula ng mga alon ng sangay gamit ang pag -uugali, sa pamamagitan ng pag -iwas sa pangangailangan na unang makalkula ang katumbas na pagtutol at pagkatapos ay ilapat ang tradisyonal na kasalukuyang panuntunan ng divider.
Ang paggamit ng pag -uugali ay partikular na kapaki -pakinabang sa mga kumplikadong circuit kung saan ang pagkalkula ng indibidwal at kabuuang resistensya ay maaaring nakakapagod.Ang pag -convert ng mga resistensya sa pag -uugali ay pinapasimple ang mga kabuuan, na ginagawang mas direkta ang mga kasalukuyang kalkulasyon at pagbabawas ng mga potensyal na error.Ang pag -uugali ng pag -uugali para sa kasalukuyang dibisyon ay nagpapaganda ng kakayahang umangkop at kahusayan ng pagsusuri sa circuit.
Ang paggamit ng pag -uugali upang mailapat ang kasalukuyang panuntunan ng divider ay nagbibigay ng isang mas malinaw na paraan upang pag -aralan ang kasalukuyang daloy sa mga kahanay na circuit.Ang pamamaraang ito ay nakahanay sa mga katangian ng elektrikal na kondaktibiti, na nag -aalok ng isang madaling maunawaan na pagkakahawak kung paano namamahagi ang mga alon sa iba't ibang mga sanga.
Kung ikukumpara sa mga tradisyunal na pamamaraan na batay sa paglaban, ang paggamit ng pag-uugali ay pinapasimple ang kasalukuyang mga kalkulasyon sa pamamahagi.Sa pamamaraang ito, ang pag -uugali ng bawat sangay ay nasa numerator, na nagtatampok na ang mas mataas na pag -uugali (mas mababang pagtutol) ay humahantong sa mas mataas na kasalukuyang daloy.Ang kasalukuyang sa pamamagitan ng anumang sangay sa isang kahanay na circuit ay ibinibigay ng:

Dito,Gx ay ang pag -uugali ng sangay,GKabuuan ay ang kabuuan ng pag -uugali ng lahat ng mga sanga, atIKabuuan ay ang kabuuang kasalukuyang pagpasok sa circuit.Ang pamamaraan na batay sa pag-uugali ay nagbibigay ng isang mas malinaw na larawan ng kasalukuyang daloy sa mga circuit na may maraming mga kahanay na landas.Ito ay lalong kapaki -pakinabang sa mga kumplikadong sistema, kung saan ang mga halaga ng pag -uugali ay direktang sumusukat kung gaano kadali ang kasalukuyang daloy sa bawat sangkap.
Ang isang kasalukuyang panuntunan ng divider ay isang pangunahing tool para sa pagsusuri ng kasalukuyang daloy sa mga kumplikadong mga de -koryenteng circuit, lalo na sa mga kahanay na sanga na may maraming mga resistors.Ang panuntunang ito ay kinakailangan para sa pagtukoy ng mga indibidwal na alon sa pamamagitan ng bawat risistor, lalo na sa mga kumplikadong network kung saan ang direktang pagsukat ay mapaghamong o hindi praktikal.
Parallel Resistor: Ang panuntunang ito ay partikular na idinisenyo para sa pag -aayos ng magkakatulad na risistor.Halimbawa, sa isang circuit kung saan ang mga resistors R1 at R2 ay kahanay, ang kabuuang kasalukuyang pagpasok sa node na ibinahagi ng R1 at R2 ay naghahati sa pagitan ng mga ito na hindi proporsyonal sa kanilang mga resistensya.Ang dibisyon na ito ay pinapasimple ang pagkalkula ng mga alon sa bawat sangay, na ginagawang mas mahusay at maaasahan ang pagsusuri ng circuit para sa iba't ibang mga aplikasyon, mula sa pangunahing elektroniko hanggang sa mga advanced na sistema ng engineering.
Kinakailangan ng Uniform Voltage: Ang isang pangunahing kondisyon para sa paglalapat ng kasalukuyang panuntunan ng divider ay ang pagkakaroon ng parehong boltahe sa bawat kahanay na sangay.Tinitiyak ng pantay na boltahe na ito ang tumpak na mga kalkulasyon, sa pag -aakalang magkaparehong mga antas ng boltahe para sa bawat risistor.Kung may mga pagkakaiba -iba ng boltahe, ang mga pagbabago sa circuit tulad ng mga pagbabagong -anyo ng mapagkukunan - pag -convert ng mga mapagkukunan ng boltahe sa katumbas na kasalukuyang mga mapagkukunan at kabaligtaran - ay maaaring kailanganin upang maibalik ang mga kondisyon na angkop para sa kasalukuyang panuntunan ng divider.
Limitasyon sa mga linear na sangkap: Ang kasalukuyang panuntunan ng divider ay gumagana lamang sa mga linear na sangkap na sumusunod sa batas ng OHM, na nangangahulugang ang kasalukuyang sa pamamagitan ng isang sangkap ay proporsyonal sa boltahe sa kabuuan nito at walang kabuluhan na proporsyonal sa paglaban nito.Ang panuntunang ito ay hindi nalalapat sa mga di-linear na elemento tulad ng mga diode o transistor, na ang paglaban ay nag-iiba sa inilapat na boltahe.Para sa mga circuit na may naturang mga elemento, ang mga analyst ay nangangailangan ng mga alternatibong pamamaraan na naaayon sa mga di-linear na katangian, tulad ng pagsusuri ng linear linear o dalubhasang simulation software.
Kondisyon ng matatag na estado: Ipinapalagay ng kasalukuyang panuntunan ng divider na ang circuit ay nasa isang matatag na estado, kung saan ang lahat ng mga boltahe at alon ay nananatiling pare-pareho sa paglipas ng panahon.Ang kundisyong ito ay makabuluhan dahil ang mga lumilipas na mga phenomena - tulad ng paglipat o pag -off ng mga sangkap - ay maaaring maging sanhi ng pansamantalang pagbabagu -bago sa kasalukuyan o boltahe, na potensyal na skewing ang pagsusuri.Sa mga dinamikong kondisyon, ang mas advanced na pamamaraan, tulad ng pagkakaiba -iba ng equation modeling o mga pagbabagong -anyo ng Laplace, ay mas mahusay na angkop upang makuha at pag -aralan ang mga lumilipas na pag -uugali, na nagbibigay ng detalyadong pag -unawa sa temporal na dinamika ng circuit.
Ang kasalukuyang panuntunan ng divider ay malawakang ginagamit sa iba't ibang mga senaryo ng real-world, mula sa mga simpleng circuit na may dalawang resistors sa mga kumplikadong sistema na may maraming mga resistors at mga mapagkukunan ng kuryente.Ang mga halimbawang ito ay nagpapakita kung paano tinitiyak ng panuntunan ang epektibo at mahusay na operasyon ng circuit.

Larawan 6: Pangunahing circuit ng dalawang resistor
Isaalang -alang ang isang simpleng kahanay na circuit na may kabuuang kasalukuyang 10 amperes na dumadaloy sa isang node at paghahati sa pagitan ng dalawang resistors,
Ang kasalukuyang panuntunan ng divider ay kinakalkula ang kasalukuyang sa pamamagitan ng bawat risistor tulad ng sumusunod:

Ang halimbawang ito ay nagpapakita kung paano nahahati ang kasalukuyang bahagi batay sa mga halaga ng paglaban, na may mas mababang pagguhit ng paglaban nang mas kasalukuyang.

Larawan 7: Complex multi-resistor circuit
Para sa isang mas kumplikadong senaryo, isaalang -alang ang isang circuit na may maraming mga resistors at isang kabuuang kasalukuyang 15 amperes.Ang mga resistors
ay konektado sa kahanay.Gamit ang kasalukuyang panuntunan ng divider:

Ang kasalukuyang sa pamamagitan ng bawat risistor ay matatagpuan sa pamamagitan ng:

Ang pagkalkula na ito ay nagpapakita kung paano nakakaapekto ang iba't ibang mga resistensya sa kasalukuyang pamamahagi.
Ang mga kasalukuyang divider ay naglalaro ng isang nangingibabaw na papel sa iba't ibang mga aplikasyon sa loob ng electronics at electrical engineering.Kinakailangan ang mga ito para sa mga pag -andar mula sa sangkap na biasing hanggang sa pagsubaybay sa system.

Larawan 8: Biasing transistors sa mga electronic circuit
Ang mga kasalukuyang divider ay kinakailangan para sa mga biasing transistors.Sa pamamagitan ng tumpak na paghati sa kasalukuyang dumadaloy sa base ng isang transistor, tumutulong sila na itakda ang operating point nito sa loob ng aktibong rehiyon.Tinitiyak nito ang matatag na pagganap ng amplifier at mahusay na paglipat sa mga digital circuit.

Larawan 9: Kasalukuyang pamamahagi ng mga suplay ng kuryente
Sa mga circuit ng suplay ng kuryente, ang kasalukuyang mga divider ay namamahagi ng kasalukuyang sa iba't ibang mga sangkap nang ligtas at mahusay.Pinipigilan nito ang labis na pag -load at pinapanatili ang mga matatag na boltahe ng output sa ilalim ng iba't ibang mga kondisyon ng pag -load, pagpapahusay ng pagiging maaasahan at kahusayan ng mga suplay ng kuryente.

Larawan 10: Kasalukuyang mekanismo ng sensing
Ang mga kasalukuyang divider ay konklusyon sa kasalukuyang mga aplikasyon ng sensing.Nagdidirekta sila ng isang pinamamahalaan na halaga ng kasalukuyang sa pamamagitan ng mga sensor, na kung saan ay pinuno sa mga mataas na kasalukuyang kapaligiran tulad ng mga sistema ng kontrol sa motor.Ang pagsukat ng isang maliit, proporsyonal na kasalukuyang tumpak na nagbibigay -daan sa epektibong pagsubaybay at kontrol ng system.

Larawan 11: Voltage-to-kasalukuyang conversion
Sa mga proseso ng pag-convert ng boltahe-sa-kasalukuyang, inaayos ng mga kasalukuyang divider ang output kasalukuyang batay sa isang naibigay na boltahe ng pag-input.Ito ang susi sa interface ng transducer, kung saan ang mga signal ng sensor ay kailangang ma-convert sa kasalukuyang para sa paghahatid ng pangmatagalan nang hindi nawawala ang integridad ng signal.

Larawan 12: Ang pamamahagi ng mga signal sa mga elektronikong sistema
Ang mga kasalukuyang divider ay namamahagi din ng mga signal sa loob ng mga electronic system, tinitiyak na ang mga signal ay ibinahagi sa pagitan ng mga kahanay na landas na may kaunting pagkawala o pagbaluktot.
Ang paggalugad ng kasalukuyang mga ratios at ang kasalukuyang panuntunan ng divider sa magkakatulad na mga circuit ay nagpapalabas ng isang pangunahing aspeto ng elektrikal na engineering na may malalayong mga aplikasyon.Sa pamamagitan ng pag -unawa kung paano ipinamamahagi ang kasalukuyang sa iba't ibang mga sanga batay sa kanilang pagtutol, ang mga inhinyero ay maaaring magdisenyo ng mga circuit na kapwa mahusay at ligtas.Ang mga prinsipyong teknikal na tinalakay, tulad ng batas ng OHM at kasalukuyang batas ni Kirchhoff, ay hindi lamang mga teoretikal na konstruksyon ngunit ang susi para sa mga praktikal na aplikasyon, tulad ng sa biasing ng mga transistor, ang disenyo ng mga circuit ng suplay ng kuryente, at ang pagpapatupad sa kasalukuyang mga mekanismo ng sensing.
Sa isang circuit na naglalaman ng mga capacitor, ang kasalukuyang panuntunan ng divider ay batay sa mga impedance (na nakasalalay sa dalas dahil sa mga capacitor na may dalas na umaasa sa dalas).Ang pormula para sa kasalukuyang sa pamamagitan ng isang kapasitor sa isang kahanay na network ay:

Saan Iay ang kabuuang kasalukuyang pagpasok sa networkZc ay ang impedance ng kapasitor, at ZKabuuanay ang katumbas na impedance ng kahanay na network.
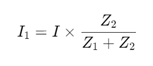
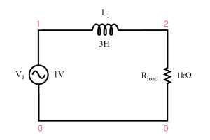
Ang isang divider ng boltahe ay isang circuit na naglalabas ng isang maliit na bahagi ng boltahe ng pag -input nito sa isang partikular na pagkarga.Karaniwan itong binubuo ng dalawang resistors sa serye, kasama ang output boltahe na kinuha sa isa sa kanila.
Ang isang kasalukuyang divider ay isang pagsasaayos kung saan ang papasok na kasalukuyang paghahati sa maraming mga landas sa isang circuit na may iba't ibang mga sanga na may kanilang impedance.Ang pamamahagi ng kasalukuyang nakasalalay sa impedance ng bawat sangay.
Para sa isang pangunahing kasalukuyang circuit ng divider na may dalawang sanga na may mga impedanceZ1 at Z2 ang kasalukuyang sa pamamagitan ngZ1 ay ibinigay ng:

Ang pormula na ito ay nalalapat sa anumang passive na sangkap (mga resistors, capacitor, inductors), na inaayos ang impedance nang naaangkop.
Upang malutas para sa kasalukuyang sa isang circuit, karaniwang ginagamit mo ang batas ng Ohm,
saanV ay ang boltahe,I ay ang kasalukuyang, at R ay ang paglaban.Sa mas kumplikadong mga circuit, maaari mong gamitin ang kasalukuyang Batas ng Kirchhoff (KCL) at Kirchhoff's Voltage Law (KVL) kasama ang mga halaga ng impedance para sa mga capacitor at inductors kung naroroon.
Ang batas ng Ohm ay pangunahing para sa pag -unawa sa mga relasyon sa mga de -koryenteng circuit, na nagsasabi na ang kasalukuyang sa pamamagitan ng isang conductor sa pagitan ng dalawang puntos ay direktang proporsyonal sa boltahe sa buong dalawang puntos at inversely proporsyonal sa paglaban.
Ang kasalukuyang Batas (KCL) ni Kirchhoff ay nagsasaad na ang kabuuang kasalukuyang pagpasok ng isang kantong ay dapat na katumbas ng kabuuang kasalukuyang pag -iwan ng kantong.
Ang Kirchhoff's Voltage Law (KVL) ay nagsasaad na ang kabuuan ng mga potensyal na pagkakaiba -iba ng mga potensyal sa paligid ng anumang saradong network ay zero.
Mangyaring magpadala ng isang pagtatanong, tutugon kami kaagad.
sa 2024/06/17
sa 2024/06/14
sa 8000/04/18 147757
sa 2000/04/18 111935
sa 1600/04/18 111349
sa 0400/04/18 83720
sa 1970/01/1 79508
sa 1970/01/1 66905
sa 1970/01/1 63028
sa 1970/01/1 63012
sa 1970/01/1 54081
sa 1970/01/1 52124