Ang pag -unlad ng teknolohiya ng baterya ay nagsusulong ng mga bagong electronics, electric car, at nababagong enerhiya.Alam kung paano gumagana ang iba't ibang mga pamamaraan ng pagsingil ng baterya para sa pagkuha ng pinakamahusay na pagganap at pinakamahabang buhay mula sa mga baterya.Ang artikulong ito ay tumitingin sa iba't ibang mga pamamaraan ng pagsingil, tulad ng patuloy na boltahe (CV) at patuloy na kasalukuyang (CC), ang kanilang mga kumbinasyon, at mga bagong pamamaraan tulad ng patuloy na singil ng kapangyarihan (CP).Saklaw din nito ang mga advanced na pamamaraan tulad ng Pulse Charging at ang makabagong paraan ng pagsingil ng IUI na idinisenyo para sa mga tiyak na uri ng mga baterya.Ang bawat pamamaraan ay may sariling mga pakinabang at pinakamahusay para sa ilang mga gamit, na nagpapakita ng detalyadong mga pangangailangan ng modernong teknolohiya ng baterya.Ang artikulong ito ay hindi lamang nagpapaliwanag kung paano gumagana ang mga pamamaraan na ito ngunit ipinapakita din kung paano ito ginagamit sa mundo na hinihimok ng tech ngayon, at nagtatakda ng yugto para sa isang detalyadong pagtingin sa bawat paraan ng pagsingil, kung paano sila gumagana, at ang mga pagsulong sa teknolohiya na patuloy na nagbabago sa larangan ngsingilin ang baterya.

Larawan 1: Gumagana ang pagsingil ng baterya
Ang patuloy na boltahe (CV) na singilin ay isang pamamaraan kung saan ang boltahe na inilalapat sa isang baterya ay nananatiling maayos sa buong proseso ng pagsingil.Ito ay naiiba mula sa patuloy na kasalukuyang (CC) na singilin, kung saan ang kasalukuyang ay pinananatiling pare -pareho habang ang boltahe ay nag -iiba.Sa pagsingil ng CV, ang baterya ay sisingilin hanggang sa maabot nito ang isang paunang natukoy na antas ng boltahe.Sa puntong ito, ang boltahe ay pinananatili, at ang kasalukuyang pagbawas habang ang baterya ay malapit nang singil.Tinitiyak ng pamamaraang ito na ang boltahe ay mananatili sa loob ng isang ligtas na saklaw, na pumipigil sa sobrang pag -agaw at potensyal na pinsala sa baterya.
Ang pamamaraang ito ng pagsingil na kinakailangan sa pangwakas na yugto ng pagsingil ng mga baterya ng lithium-ion.Nagbibigay ito ng tumpak na kontrol sa boltahe, tinitiyak ang bawat cell sa pack ng baterya naabot ang pinakamainam na antas ng singil nang hindi lalampas sa maximum na limitasyon ng boltahe na maaaring makapinsala sa kimika at habang buhay na baterya.

Larawan 2: graph ng patuloy na boltahe (CV) singilin
Narito ang isang detalyadong pagkasira ng yugto ng singilin ng CV:
Sa panahon ng pare-pareho ang kasalukuyang (CC) phase, ang baterya ay sisingilin hanggang sa maabot nito ang isang tiyak na threshold ng boltahe, malapit sa pinakamataas na kapasidad nito (sa paligid ng 4.2 volts bawat cell para sa karamihan sa mga baterya ng lithium-ion).
Kapag natugunan ang threshold na ito, ang mga paglilipat ng charging circuit mula sa CC hanggang CV mode.Ang charger pagkatapos ay inilalapat ang isang palaging boltahe sa baterya.
Sa pagsisimula ng yugto ng CV, mataas ang singilin.Habang papalapit ang boltahe ng cell sa boltahe ng charger, unti -unting bumababa ang kasalukuyang.Nangyayari ito dahil ang potensyal na pagkakaiba sa pagitan ng charger at ang baterya ay binabawasan, natural na nililimitahan ang kasalukuyang daloy ayon sa batas ni Ohm.
Habang ang baterya ay patuloy na singilin, mas kaunting kasalukuyang kinakailangan upang mapanatili ang boltahe.Ang pagbawas sa kasalukuyang ay nagpapahiwatig na ang baterya ay malapit na sa buong kapasidad ng singil nito.
Nagtatapos ang proseso ng pagsingil kapag ang kasalukuyang bumababa sa isang maliit na bahagi ng paunang rate ng singil, madalas tungkol sa 10% ng panimulang kasalukuyang.Ang pagbagsak sa kasalukuyang mga senyas na ang baterya ay ganap na sisingilin.
Ang patuloy na kasalukuyang (CC) na singilin ay isang paraan ng pagsingil ng baterya kung saan ang isang nakapirming kasalukuyang ay ibinibigay sa baterya hanggang sa maabot nito ang isang tiyak na antas ng boltahe.Hindi tulad ng patuloy na singilin ng boltahe (CV), kung saan ang boltahe ay nananatiling matatag at ang kasalukuyang bumababa habang ang mga singil ng baterya, ang pagsingil ng CC ay nagpapanatili ng isang matatag na kasalukuyang sa buong proseso ng pagsingil.Ang kasalukuyang ito ay tinukoy ng tagagawa ng baterya o tinutukoy batay sa mga katangian ng baterya.Habang ang patuloy na kasalukuyang dumadaloy sa baterya, tumataas ang boltahe nito.Kapag naabot ng baterya ang itinalagang threshold ng boltahe, ang paraan ng singilin ay maaaring lumipat sa patuloy na singilin ng boltahe upang makumpleto ang siklo, tinitiyak na ang baterya ay ganap na sisingilin nang walang labis na labis na labis.
Ang pangunahing prinsipyo ng pagsingil ng CC ay nagsasangkot sa pagpapanatili ng kasalukuyang dumadaloy sa pare -pareho ng baterya sa buong yugto ng singilin.Nakamit ito gamit ang kasalukuyang mga circuit ng regulasyon o aparato na sinusubaybayan at inaayos ang kasalukuyang output upang tumugma sa nais na antas.Tinitiyak ng pamamaraang ito ang mahusay na paglipat ng enerhiya at pinaliit ang stress sa mga cell ng baterya.Ang patuloy na kasalukuyang singilin ay malawakang ginagamit sa iba't ibang mga aplikasyon, kabilang ang mga elektronikong consumer, mga de -koryenteng sasakyan, at kagamitan sa industriya, dahil sa pagiging simple at pagiging epektibo nito sa pagsingil ng mga baterya nang ligtas at maaasahan.

Larawan 3: Ang graph ng patuloy na kasalukuyang singilin
Ang mga pagsulong sa larangang ito ay hinihimok ng pangangailangan para sa mas mahusay, mas mabilis, at mas ligtas na mga solusyon sa singilin, na nakatuon sa mga makabagong materyales, mga sistema ng pamamahala ng baterya, at mga matalinong algorithm.Nasa ibaba ang isang nakakaengganyo na pangkalahatang -ideya ng mga umuusbong na teknolohiyang ito:
|
Kategorya |
Teknolohiya |
Paglalarawan |
Mga Pakinabang |
|
Mga Materyales ng Electrode |
Silicon anod |
Ang Silicon ay maaaring mag -imbak ng sampung beses na mas lithium
mga ion kaysa sa grapayt, na humahantong sa mas mataas na mga density ng enerhiya at mas mabilis na singilin. |
Mas mataas na density ng enerhiya, mas mabilis na singilin |
|
Lithium metal anod |
Nag -aalok ang Lithium Metal ng mas mataas na kapasidad ngunit
Poses panganib ng mga maikling circuit mula sa mga dendrite.Kasama sa mga solusyon ang advanced
Mga electrolyte at disenyo ng solid-state. |
Mas mataas na kapasidad, pinahusay na kaligtasan |
|
|
Mga Sistema sa Pamamahala ng Baterya (BMS) |
Adaptive CC Charging |
Sinusubaybayan ang bawat singil ng bawat cell, temperatura,
at kalusugan, pag-aayos ng kasalukuyang sa real-time gamit ang pag-aaral ng makina at
Mga advanced na algorithm. |
Na -optimize na kahusayan, matagal na baterya
Buhay |
|
Wireless CC singilin |
Resonant Inductive Coupling &
Magnetic resonance |
Mga pamamaraan na nagbibigay -daan sa mahusay na enerhiya
ilipat sa mga maikling distansya nang walang mga pisikal na konektor, na na -scale na ngayon
Para sa mas malaking application tulad ng mga EV. |
Walang tahi, mabilis na muling pagdadagdag ng enerhiya para sa
Evs |
|
Nanotechnology |
Carbon Nanotubes & Graphene |
Nanostructured na materyales na may pambihirang
elektrikal na kondaktibiti at lugar ng ibabaw, na isinama sa baterya
mga electrodes upang mabawasan ang mga oras ng pagsingil at pagbutihin ang tibay. |
Mas mabilis na singilin, pinabuting baterya
tibay |
|
Hybrid Supercapacitor-Battery Systems |
Pagsasama -sama ng mga supercapacitors para sa mabilis
Ang pagsingil sa panahon ng CC phase na may mga baterya para sa mataas na pag -iimbak ng enerhiya. |
Mataas na lakas at density ng enerhiya, mabilis
Mga Kakayahang singilin |
|
|
Software at kontrol |
AI at mahuhulaan na pagmomolde |
Gumagamit ng malawak na pagsusuri ng data upang matukoy
Ang mga optimal na parameter ng singilin, pag -aaral mula sa mga nakaraang siklo upang pinuhin ang singilin
mga profile at maiwasan ang sobrang pag -init at sobrang pag -init. |
Mas mabilis, mas ligtas, at mas mahusay
singilin |
|
Pagsasama ng IoT |
IoT-Enabled Charger & Baterya |
Nagbibigay -daan sa komunikasyon sa pagitan ng mga charger,
Mga baterya, at mga sentralisadong sistema upang ma -optimize ang mga iskedyul ng singilin at subaybayan
Kalusugan ng baterya sa real-time. |
Pag -save ng Gastos, Pagbabalanse ng Grid Load,
Real-time na pagsubaybay para sa kahabaan ng baterya at pagiging maaasahan |
|
Regulasyon at Standardisasyon |
Mga pagsisikap sa regulasyon at standardisasyon |
Nagtatatag ng mga alituntunin para sa ligtas at
Mahusay na pagpapatupad ng mga bagong teknolohiya ng pagsingil ng CC, tinitiyak
pagiging tugma at kaligtasan sa iba't ibang mga aplikasyon at tagagawa. |
Pinadali ang pagsasama ng merkado, tinitiyak
Kaligtasan at pagiging tugma |
Ang Hybrid CVCC (patuloy na boltahe, pare -pareho ang kasalukuyang) singilin ay isang modernong paraan upang singilin ang mga baterya.Ginagamit nito ang parehong patuloy na boltahe at patuloy na kasalukuyang mga pamamaraan upang gawing mas mahusay ang proseso ng singilin.Ang pangunahing layunin ng hybrid na pagsingil ng CVCC ay upang gawing mas mahaba ang mga baterya, ligtas na singilin, at mahusay na gumana.Ang pamamaraang ito ay kapaki -pakinabang para sa mga de -koryenteng kotse, mga gadget ng consumer, at nababago na imbakan ng enerhiya.
Ang tradisyunal na singilin ay gumagamit ng alinman sa patuloy na boltahe o pare -pareho ang kasalukuyang oras.Sa patuloy na kasalukuyang (CC) na singilin, ang baterya ay nakakakuha ng isang matatag na kasalukuyang hanggang sa tumama ito sa isang tiyak na boltahe.Sa patuloy na boltahe (CV) na singilin, ang baterya ay nakakakuha ng isang matatag na boltahe habang ang kasalukuyang dahan -dahang bumababa habang pinupuno ang baterya.Pinagsasama ng Hybrid CVCC ang dalawang paraan upang ayusin ang kanilang mga problema at gamitin ang kanilang lakas.
Ang layunin ng Hybrid CVCC Charging ay tatlong beses.Una, naglalayong paikliin ang oras ng singilin habang ligtas na pinupuno ang baterya sa pinakamataas na kapasidad nito.Napakahalaga nito para sa mga bagay tulad ng mga de -koryenteng kotse na nangangailangan ng mabilis na singilin upang mabawasan ang downtime.Pangalawa, nakakatulong ito sa baterya na mas mahaba sa pamamagitan ng pag -iwas sa sobrang pag -init at sobrang pag -init, karaniwang mga isyu sa tradisyonal na singilin.Sa pamamagitan ng maingat na pagkontrol sa boltahe at kasalukuyang, ang hybrid na singilin ng CVCC ay binabawasan ang pagsusuot sa mga cell ng baterya.Panghuli, ang pamamaraang ito ay nagpapalakas ng kahusayan ng enerhiya sa pamamagitan ng pagtiyak na ang lakas na naihatid sa baterya ay na -optimize, binabawasan ang pagkawala ng enerhiya at mas mahusay na magamit ang magagamit na kapangyarihan.

Larawan 4: graph ng singilin ng CVCC
Ang hybrid na pare -pareho ang boltahe/pare -pareho ang kasalukuyang (CVCC) na paraan ng pagsingil ay nagsisimula sa pamamagitan ng singilin ang baterya na may mataas na kasalukuyang.Sa yugtong ito, ang sistema ng singilin ay naghahatid ng isang pare -pareho, mataas na kasalukuyang sa baterya anuman ang boltahe nito.Ang pamamaraang ito ay mabilis na singilin ang baterya sa isang antas ng kapasidad nito sa loob ng isang maikling panahon.Ang mataas na kasalukuyang yugto ay nangangailangan para sa mabilis na pagdadala ng baterya sa isang magagamit na estado.
Habang hinihigop ng baterya ang papasok na kasalukuyang, tumataas ang boltahe nito.Sinusubaybayan ng sistema ng singilin ang boltahe ng baterya at kasalukuyang upang matiyak na ang mga limitasyon sa kaligtasan ay hindi lalampas.Ang phase na ito ay epektibo para sa mga baterya na may kakayahang hawakan ang mataas na kasalukuyang mga input nang walang pinsala o labis na init.Ang tagal ng phase na ito ay nag -iiba depende sa uri at kapasidad ng baterya ngunit naglalayong mabilis na singilin ang baterya sa isang paunang natukoy na antas ng boltahe.
Habang ang boltahe ng baterya ay malapit sa target, ang paglilipat ng sistema ng pagsingil sa ikalawang yugto, kung saan binabawasan ang kasalukuyang.Kapag ang baterya ay umabot sa isang tiyak na threshold ng boltahe, binabawasan ng system ang kasalukuyang habang pinapanatili ang pare -pareho ang boltahe.Makakatulong ito upang maiwasan ang overcharging at binabawasan ang stress sa mga cell ng baterya.
Ang yugto ng paglipat ay nangangailangan ng isang balanse sa pagitan ng pagpapanatili ng patuloy na boltahe at tinitiyak ang kasalukuyang mananatili sa loob ng ligtas na antas.Gumagamit ang system ng mga algorithm at mekanismo ng feedback upang masubaybayan ang estado ng baterya at ayusin ang kasalukuyang.Ang layunin ay upang mapalapit ang baterya sa buong kapasidad habang binabawasan ang labis na mga panganib.Ang phase fine-tune ng enerhiya input upang matiyak ang pinakamainam na kahusayan at kaligtasan.
Sa pangwakas na yugto, ang sistema ng singilin ay nagpapanatili ng isang palaging boltahe habang pinapayagan ang kasalukuyang mag -taper sa zero.Habang papalapit ang baterya ng buong singil, ang kasalukuyang pangangailangan upang mapanatili ang patuloy na pagbaba ng boltahe.Tinitiyak ng phase na ito na ang baterya ay ganap na sisingilin nang walang labis na labis o sanhi ng pinsala.
Ang pagpapanatili ng isang palaging boltahe sa yugtong ito ay nagbibigay -daan sa baterya upang makumpleto ang pag -ikot ng singil nito nang ligtas at mahusay.Ang sistema ng singilin ay patuloy na sinusubaybayan ang boltahe ng baterya at kasalukuyang, paggawa ng mga pagsasaayos ng real-time upang mapanatiling matatag ang boltahe.Kapag ang kasalukuyang umabot sa isang minimal na antas o zero, kumpleto ang proseso ng pagsingil, at ang baterya ay ganap na sisingilin.
Ang pangwakas na yugto na ito ay nag -maximize ng kapasidad ng singil ng baterya at kahandaan para magamit.Sa pamamagitan ng pagkontrol ng boltahe at kasalukuyang sa buong proseso, ang hybrid na pamamaraan ng CVCC ay nagbibigay ng isang maaasahang at mahusay na paraan upang singilin ang mga baterya, pagpapahusay ng pagganap at pagpapalawak ng habang -buhay.
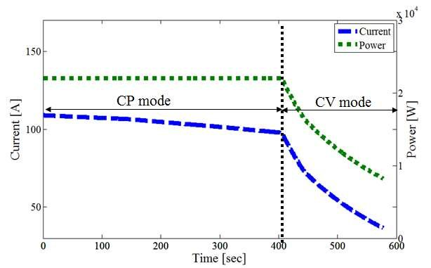
Ang patuloy na singilin ng kuryente ay gumagamit ng isang dynamic na diskarte.Nagsisimula ito sa isang mataas na kasalukuyang kapag ang boltahe ng baterya ay mababa at binabawasan ang kasalukuyang habang tumataas ang boltahe.Ang pamamaraang ito ay umaangkop sa paghahatid ng kuryente batay sa estado ng baterya, na -maximize ang kahusayan ng singilin at pagbabawas ng stress ng baterya.
Ang patuloy na singilin ng kuryente ay isang pamamaraan na ginagamit pangunahin para sa singilin ng mga baterya kung saan ang lakas ng pag -input ay pinananatiling pare -pareho sa buong pag -ikot ng singil.Ang kapangyarihan, na tinukoy bilang rate ng paglipat ng enerhiya, ay kinakalkula sa pamamagitan ng pagpaparami ng boltahe (v) at kasalukuyang (i) (p = v x i).Sa pamamaraang ito, habang tumataas ang boltahe ng baterya, ang kasalukuyang ay nababagay upang matiyak na ang kapangyarihan ay nananatiling pare -pareho.Ang pamamaraang ito ay nag -optimize ng mga paunang phase kapag ang baterya ay maaaring ligtas na tanggapin ang mas mataas na mga rate ng paglipat ng enerhiya nang walang sobrang pag -init o stress.

Larawan 5: Ang graph ng patuloy na kasalukuyang kumpara sa patuloy na singilin ng kuryente
Ang patuloy na singilin ng kuryente ay naiiba sa mas karaniwang mga pamamaraan tulad ng patuloy na kasalukuyang (CC) at patuloy na pagsingil ng boltahe (CV).Sa patuloy na kasalukuyang singilin, ang charger ay nagbibigay ng isang matatag na kasalukuyang sa baterya kahit na nagbabago ang boltahe.Ito ay gumagana nang maayos sa una ngunit nakakakuha ng hindi gaanong mahusay dahil ang baterya ay nakakakuha ng mas buong, maaaring maging sanhi ng labis na boltahe at stress ang baterya.
Ang patuloy na pagsingil ng boltahe ay nagtatakda ng charger sa isang nakapirming boltahe, at ang kasalukuyang pagbawas habang pinupuno ang baterya.Makakatulong ito na maiwasan ang labis na pag -overcharging at tinitiyak ang ganap na singil ng baterya nang hindi napunta sa limitasyon ng boltahe.
Sinusubukan ng patuloy na pagsingil ng kapangyarihan na pagsamahin ang mga magagandang punto ng parehong mga pamamaraan.Inaayos nito ang parehong kasalukuyang at boltahe upang mapanatiling matatag ang antas ng kapangyarihan.Maaari itong singilin ang baterya nang mabilis sa una, tulad ng patuloy na kasalukuyang, at pagkatapos ay pabagalin habang tumataas ang boltahe ng baterya, tulad ng patuloy na boltahe.Ang pamamaraang ito ay tumutulong sa pamamahala ng stress sa baterya, ginagawa itong isang mahusay na pagpipilian para sa mga bagay na nangangailangan ng mabilis na singilin at mahabang buhay ng baterya, tulad ng mga de-koryenteng kotse at mga aparato na may mataas na kapasidad.
Pinagsasama ng patuloy na lakas ng boltahe (CPCV) ang dalawang pamamaraan: patuloy na boltahe (CV) at pare -pareho ang kapangyarihan (CP).Sa mode ng CV, pinapanatili ng charger ang boltahe na matatag upang maiwasan ang labis na pagsukat ng baterya, kung halos puno ito.Sa mode ng CP, na ginamit sa simula, ang charger ay nagbibigay ng kapangyarihan sa isang palaging rate para sa mabilis na singilin, pamamahala ng init at stress ng baterya.
Ang pamamaraang ito ay nagsisimula sa patuloy na kapangyarihan upang mabilis na maihatid ang enerhiya sa mataas na alon kapag mababa ang boltahe ng baterya.Habang papalapit ang baterya ng buong singil, nagbabago ito sa patuloy na singilin ng boltahe upang pinuhin ang proseso at maiwasan ang overvoltage.Ang diskarte na ito ay epektibo para sa mabilis na singilin ang mga baterya hanggang sa isang malaking kapasidad bago ma -optimize ang pangwakas na yugto ng pagsingil, tinitiyak ang kahusayan at kaligtasan.
Gumagana ang CPCV sa iba't ibang uri ng mga baterya, tulad ng lithium-ion, na nangangailangan ng maingat na singilin.Ang system ay lumipat sa pagitan ng CP at CV batay sa antas ng singil ng baterya at iba pang mga kadahilanan.

Larawan 6: Ang graph ng patuloy na pag -singil ng pare -pareho na boltahe (CPCV)
Ang pagsingil ng CPCV (pare-pareho ang lakas ng boltahe) na singilin ay kapaki-pakinabang para sa mga baterya ng lithium-ion (LI-Ion) at mga baterya ng lithium-polymer (LIPO).Ang mga uri ng baterya na ito ay pangkaraniwan sa mga modernong high-tech na aparato.Ang pagsingil ng CPCV ay nagsisimula sa isang palaging yugto ng kuryente, kung saan ang baterya ay mabilis na sumisipsip ng maraming enerhiya nang hindi rin ang paghagupit ng mataas na antas ng boltahe sa lalong madaling panahon.Kapag ang baterya ay umabot sa isang tiyak na boltahe, ang singilin ay lumilipat sa isang palaging yugto ng boltahe, pinapanatili ang matatag na boltahe upang makumpleto ang proseso ng pagsingil nang walang pag -stress o sobrang pag -init ng baterya.
• Mga Smartphone at Tablet: Ang mga gadget na ito ay nangangailangan ng mabilis at mahusay na singilin upang mapahusay ang buhay at pagganap ng baterya.
• Mga laptop: Katulad sa mga smartphone, ang mga laptop ay nakikinabang mula sa mabilis ngunit ligtas na singilin, ay tumutulong na mapanatili ang kalusugan ng baterya para sa matagal na paggamit sa lakas ng baterya.
• Mga de -koryenteng sasakyan (EV): Ang mga EV ay may malalaking pack ng baterya na nakikinabang sa singilin ng CPCV.Mabilis na sinisingil ng pamamaraan ang baterya sa isang mataas na antas bago lumipat sa patuloy na boltahe upang ligtas na tapusin ang proseso.
• Mga tool sa kuryente: Ang mga baterya ng mataas na kapasidad sa mga tool ng kuryente ay maaaring mai-recharged nang mabilis at ligtas sa CPCV, pagbabawas ng downtime at tinitiyak na ang mga tool ay handa nang gamitin.
Ang Pulse Charging ay isang pamamaraan na ginamit upang singilin ang mga baterya sa pamamagitan ng paglalapat ng mga pagsabog ng mataas na kasalukuyang, na sinusundan ng mga panahon ng pahinga na walang kasalukuyang o isang maikling paglabas.Hindi tulad ng mga tradisyunal na pamamaraan na gumagamit ng isang palaging stream ng kasalukuyang, ang pagsingil ng pulso ay nagsasangkot ng mga siklo ng singilin at pamamahinga.Ang pamamaraan na ito ay naglalayong kopyahin ang mga natural na proseso ng singilin na matatagpuan sa mga biological system, na -optimize ang balanse sa pagitan ng pag -input ng enerhiya at katatagan ng kemikal ng baterya.
Ang pamamaraang ito ay maaaring maiangkop para sa iba't ibang mga uri ng baterya, tulad ng lead-acid, nickel-cadmium (NICD), nickel-metal hydride (NIMH), at mga baterya ng lithium-ion.Ang bawat uri ay maaaring mangailangan ng natatanging mga pagsasaayos ng pulso, kabilang ang mga pagkakaiba -iba sa lakas ng pulso, tagal, at mga panahon ng pahinga.
Ang pagsingil ng pulso ng isang malaking benepisyo ay binabawasan nito ang pagbuo ng mga dendrite sa mga baterya ng lithium-ion.Ang mga dendrite ay mga istraktura na tulad ng karayom na maaaring mabuo sa panahon ng singilin at maging sanhi ng mga maikling circuit, pagbabawas ng buhay at kaligtasan ng baterya.Ang stop-and-start na likas na katangian ng pag-singil ng pulso ay nakakatulong na makontrol kung paano ang mga deposito ng lithium sa mga electrodes, na ibinababa ang panganib ng mga dendrite na bumubuo.
Ang pagsingil ng pulso ay maaaring mapabuti ang pagganap ng baterya at habang buhay sa pamamagitan ng pagbabawas ng henerasyon ng init sa panahon ng singilin.Makakatulong ito na panatilihin ang baterya sa tamang temperatura, pinapanatili ang kapasidad nito at pinalawak ang buhay nito.Mahalaga ito para sa mga baterya na may mataas na kapasidad sa mga de-koryenteng sasakyan at portable na elektronikong aparato.
Maaari ring pabilisin ang pagsingil ng pulso ang proseso ng pagsingil nang hindi sinisira ang baterya.Pinapayagan nito para sa mas mabilis na pagpapanumbalik ng enerhiya kumpara sa patuloy na kasalukuyang singilin, at kapaki -pakinabang para sa mga aplikasyon na nangangailangan ng mabilis na mga oras ng pag -recharge, tulad ng mga emergency power system o sa panahon ng mga maikling paghinto ng automotiko.

Larawan 7: Pulse singilin ng baterya ng lithium ion
Ang Pulse Charging ay isang advanced na pamamaraan para sa pagsingil ng mga baterya na naglalayong mapagbuti ang kahusayan at habang buhay ng mga rechargeable na baterya tulad ng nickel-cadmium (NICD), nickel-metal hydride (NIMH), at mga cell ng lithium-ion (Li-Ion).Hindi tulad ng tradisyonal na tuluy -tuloy na direktang kasalukuyang (DC) na singilin, ang pag -singil ng pulso ay naghahatid ng singil sa maikli, kinokontrol na pagsabog o pulso.Ang pamamaraang ito ay nag -optimize sa proseso ng pagsingil at tinutugunan ang mga karaniwang isyu sa baterya tulad ng sobrang pag -init at ang "epekto ng memorya" sa mga baterya ng NICD.
Gumagana ang Pulse Charging sa pamamagitan ng pansamantalang pag -aaplay ng isang mas mataas na kasalukuyang sa baterya para sa isang maikling panahon na sinusundan ng isang panahon ng pahinga na walang kasalukuyang.Ang mga pulses na ito ay nagbabawas ng pangkalahatang thermal stress sa baterya sa pamamagitan ng pagpapahintulot sa init na mawala sa panahon ng pahinga, pag -minimize ng pagtaas ng temperatura at potensyal na pinsala.
Gumagamit ang mga charger ng pulso ng dalawang pangunahing uri ng pulso:
• Mga Pulses ng singil: Mataas na kasalukuyang pulso na mabilis na singilin ang baterya.Ang amplitude, tagal, at dalas ng mga pulses na ito ay nag -iiba depende sa uri at kondisyon ng baterya.
• Mga Pulses ng Paglabas: Paminsan -minsang interspersed na may mga singil na pulso, ang mga ito ay tumutulong na sirain ang electrolyte ng baterya at bawasan ang epekto ng memorya sa mga baterya ng NICD.
Kinokontrol ng charger ang tagal ng mga singil ng pulso at ang mga agwat sa pagitan ng mga ito gamit ang mga mekanismo ng feedback na sinusubaybayan ang mga parameter ng baterya tulad ng boltahe at temperatura.Pinapayagan ng feedback na ito ang charger na ayusin ang proseso ng singilin, pagpapahusay ng pagtanggap ng singil ng baterya at pangkalahatang kalusugan.
Ang pagsingil ng trick ay isang pamamaraan na ginamit upang mapanatili ang ganap na sisingilin ng mga baterya habang iniiwasan ang sobrang pag -iingat.Gumagana ito sa pamamagitan ng paghahatid ng isang maliit, pare-pareho na daloy ng koryente sa baterya, na tumutugma sa natural na rate ng paglabas ng sarili.Ang pamamaraang ito ay kapaki -pakinabang para sa mga aparato na hindi madalas na ginagamit, tinitiyak na mananatili silang sisingilin at handa nang hindi nakakasama sa kalusugan ng baterya.
Ang prosesong ito ay nalalapat ng isang minimal, tuluy -tuloy na kasalukuyang, mainam para sa pagpapanatili ng singil ng baterya sa mahabang panahon.Ang mabagal na rate ng singil ay nagpapanatili ng malusog na baterya at handa nang gamitin, kahit na ganap na sisingilin.Habang kapaki-pakinabang para sa mga baterya ng standby, hindi inirerekomenda para sa mga baterya ng NIMH at lithium-ion, dahil maaari silang masira ng matagal na mababang antas ng pagsingil.
Ang pangunahing layunin ng pagsingil ng trickle ay upang mapanatili ang isang baterya sa pinakamainam na singil nang walang hanggan.Ang proseso ng pagsingil ng trickle ay nagsasangkot ng maingat na pag -regulate ng elektrikal na kasalukuyang dumadaloy sa baterya.Sinuri muna ng charger ang boltahe ng baterya upang magpasya kung magkano ang maibibigay.Kung ang boltahe ay nasa ibaba ng target, ang charger ay nagbibigay ng isang mas mataas na kasalukuyang upang muling magkarga nito.Kapag naabot ang target na boltahe, ang charger ay lumipat sa isang mas mababang, matatag na kasalukuyang tumutugma sa rate ng self-discharge ng baterya.Ang pamamaraang ito ay nagpapanatili ng baterya na ganap na sisingilin nang walang panganib ng sobrang pag -overcharging, pagpapalawak ng buhay at pagganap nito.

Larawan 8: Pag -singil ng baterya
Mga baterya ng lead-acid: Ang parehong float at pulso charging ay angkop.Ang float charging ay madalas na ginustong para sa mga nakatigil na gamit tulad ng mga emergency system.
Mga baterya ng nikel-cadmium: Ang mga baterya na ito ay maaaring gumamit ng parehong pulso at float charging, kapaki-pakinabang kapag ang overcharging ay isang pag-aalala.
Mga baterya ng Lithium-ion: Ang mga ito ay hindi angkop para sa trickle o float charging dahil sa kanilang pagiging sensitibo sa sobrang pag-iipon.Ang pagsingil ng pulso, na may kinokontrol na pagsabog at naaangkop na circuitry, ay mas mahusay na angkop upang maprotektahan at mapanatili ang mga baterya ng lithium-ion.
Ang maraming yugto ng patuloy na kasalukuyang (MCC) na singilin ay isang advanced na pamamaraan para sa pagsingil ng mga cell ng baterya, lalo na ang mga baterya ng lithium-ion at lead-acid.Ang pamamaraang ito ay nagsasangkot ng mga natatanging yugto ng patuloy na kasalukuyang singilin, ang bawat isa ay naaayon sa iba't ibang mga yugto ng pag -ikot ng singil ng baterya.Ang pangunahing layunin ng pagsingil ng MCC ay upang mapahusay ang kalusugan ng baterya at kahabaan ng buhay sa pamamagitan ng pag -aayos ng kasalukuyang naihatid sa iba't ibang yugto ng proseso ng pagsingil.
Sa unang yugto, ang isang mas mataas na pare -pareho ang kasalukuyang inilalapat upang mabilis na singilin ang baterya sa isang bahagi ng kapasidad nito.Ang phase na ito, na kilala bilang bulk charging, ay mahusay na pinatataas ang antas ng singil ng baterya.
Habang naabot ng baterya ang ilang mga threshold ng boltahe, ang sistema ng singilin ay lumilipat sa mga yugto na may mas mababang mga alon.Ang mga yugto na ito ay nagbibigay ng finer control, na pumipigil sa sobrang pag -agaw at pagbabawas ng stress sa mga cell ng baterya.Ang maingat na modyul na ito ay nakakatulong na mapanatili ang buhay at kahusayan ng baterya.

Larawan 9: Ang graph ng singilin ng multi-stage na kasalukuyang (MCC) na singilin
|
Aspeto |
Singilin ng MCC |
|
Baterya
Kalusugan |
Pinapaliit ang stress sa panahon ng singilin |
|
Kasalukuyan
Pagsasaayos |
Ayusin batay sa antas ng singil ng baterya |
|
Sobrang init
Pag -iwas |
Binabawasan ang kasalukuyang bilang pagtaas ng singil sa
maiwasan ang sobrang pag -init |
|
Baterya
Kahabaan ng buhay |
Nagpapabuti sa pangkalahatang kalusugan at kahabaan ng buhay |
|
Temperatura
Pamamahala |
Pinapanatili ang temperatura sa loob ng pinakamainam na saklaw |
|
Boltahe
Pamamahala |
Pinipigilan ang labis na stress ng boltahe |
|
Kahusayan |
Mabilis na singil nang hindi nagsasakripisyo
Kaligtasan |
|
Kapasidad
at katatagan |
Nagpapanatili ng mas mataas na kapasidad at katatagan
higit sa habang buhay |
|
Application
Pagiging angkop |
Angkop para sa iba't ibang mga aplikasyon
(electronics, sasakyan) |
Ang kasalukuyang kasalukuyang singilin, na nagmula sa patuloy na pamamaraan ng boltahe, binabawasan ang singilin kasalukuyang habang tumataas ang boltahe ng baterya.Ang mas simpleng pamamaraan na ito ay nangangailangan ng maingat na pagsubaybay upang maiwasan ang overcharging, lalo na sa mga selyadong baterya ng lead-acid, upang maiwasan ang pagkasira o pagkabigo.
Tulad ng singil ng baterya, ang panloob na pagtutol nito ay tumaas at maaaring maging sanhi ng mas mataas na temperatura at posibleng pinsala kung ang paunang mataas na singilin ay kasalukuyang pinananatiling pareho.Pagbabawas ng kasalukuyang, tinitiyak ng charger na ang baterya ay makakakuha ng mas kaunting kasalukuyang habang ito ay singilin nang higit pa, ibinababa ang panganib ng sobrang pag -init at pagpapalawak ng habang buhay ng baterya.
Kung ikukumpara sa iba pang mga pamamaraan ng pagsingil ng baterya, ang kasalukuyang singil ay mas simple at madalas na mas ligtas.Ito ay naiiba sa mas kumplikadong mga pamamaraan tulad ng singilin ng pulso o patuloy na kasalukuyang/pare-pareho na boltahe (CC/CV) na singilin na ginamit para sa mga baterya ng lithium-ion.Ang mga pamamaraan na iyon ay maaaring singilin ang mga baterya nang mas mabilis at mas mahusay ngunit kailangan ng mas advanced na mga sistema upang makontrol ang proseso ng singilin nang ligtas.
Kilala rin bilang reflex o negatibong pagsingil ng pulso, ang pagsingil ng burp ay nagsasangkot ng mga maikling paglabas ng pulso sa panahon ng singilin.Ang Burp Charging ay isang pamamaraan na ginamit upang mapahusay ang kahabaan ng buhay at kahusayan ng mga baterya na batay sa nikel, tulad ng mga nickel-cadmium (NICD) at mga baterya ng nickel-metal hydride (NIMH).Ang pamamaraan na ito ay nagsasangkot ng maikling pag -abala sa proseso ng singilin na may mga maikling paglabas ng pulso.Ang mga maikling paglabas na ito ay naglalabas ng mga bula ng gas na naipon sa mga cell ng baterya sa panahon ng normal na singilin.Ang paglabas na ito, na madalas na tinatawag na "burping," ay pumipigil sa pagbuo ng presyon at binabawasan ang epekto ng memorya, isang kondisyon na maaaring mabawasan ang kapasidad at habang buhay kung paulit -ulit na na -recharged nang hindi ganap na pinalabas.

Larawan 10: Burp Charging Diagram
Narito kung paano ito gumagana at kung bakit ito kapaki -pakinabang:
Kapag singilin, ang mga baterya na ito ay maaaring makabuo ng mga bula ng gas sa kanilang mga electrodes, hinaharangan ang daloy ng koryente.Ang pagsingil ng burp ay nagsasangkot ng mga maikling paglabas, o "mga burps," na makakatulong sa pag -pop ng mga bula na ito, na pinapanatili ang maayos na daloy ng kuryente.
Ang mga maikling paglabas ay tumutulong na panatilihing matatag ang panloob na kapaligiran ng baterya.Pagbabawas ng gas buildup at panloob na presyon, ang pagsingil ng burp ay nagsisiguro ng higit pa sa pamamahagi ng singil sa loob ng baterya.
Binabawasan ng Burp Charging ang panganib ng sobrang pag -init at sobrang pag -init, karaniwang mga problema sa tradisyonal na mga pamamaraan ng pagsingil.Ginagawa nitong mas mabilis ang proseso ng pagsingil at tinitiyak ang singil ng baterya nang ganap at pantay.
Sa pamamagitan ng pag -iwas sa pagbuo ng gas at sobrang pag -init, ang pagsingil ng burp ay nakakatulong na mapanatili ang mga panloob na sangkap ng baterya.Ito ay humahantong sa isang mas mahabang habang -buhay para sa baterya.
Ang IUI Charging ay isang modernong pamamaraan para sa mabilis na singilin ang pamantayang baha na lead-acid na baterya.Ito ay nagsasangkot ng tatlong mga phase: isang paunang patuloy na kasalukuyang yugto hanggang sa maabot ang isang set ng boltahe, isang pare -pareho ang yugto ng boltahe kung saan bumababa ang kasalukuyang hanggang sa isa pang antas ng preset, at isang pangwakas na pagbabalik sa patuloy na kasalukuyang.Tinitiyak ng pamamaraang ito kahit na singilin ang lahat ng mga cell, na -maximize ang pagganap at habang -buhay.
Ang pamamaraan ng pagsingil ng IUI ay kapaki-pakinabang para sa karaniwang mga baha na lead-acid na baterya dahil tinitiyak nito kahit na singilin ang lahat ng mga cell, mabuti para sa pagpapanatili ng pinakamainam na pagganap at pagpapalawak ng pangkalahatang habang-buhay ng baterya.Kinokontrol ng IUI ang kasalukuyang at boltahe upang maiwasan ang sobrang pag -iwas o undercharging, binabawasan ang panganib ng pagkabigo ng baterya.Ito rin ay nagpapaikli ng oras ng singilin, ginagawa itong mahusay at praktikal para sa maraming mga gamit.

Larawan 11: IUI Charging Diagram
Ang Float Charging ay isang pamamaraan na ginagamit pangunahin sa mga lead-acid na baterya sa mga emergency power system.Ang pamamaraang ito ay nagsasangkot ng pagkonekta sa baterya at ang pag -load sa isang palaging mapagkukunan ng boltahe.Ang boltahe ay pinananatiling nasa ibaba lamang ng maximum na kapasidad ng baterya.Ang maingat na kontrol ng boltahe ay pumipigil sa sobrang pag -overcharging at tinitiyak na ang baterya ay laging handa na gamitin.
Praktikal, ang float charging ay nagpapanatili ng baterya na ganap na handa nang walang panganib ng sobrang pag -overcharging.Ang patuloy na mapagkukunan ng boltahe ay nag-offset ng natural na paglabas ng sarili ng baterya, na pinapanatili ang singil nito sa isang pinakamainam na antas.Ang pamamaraang ito ay napaka -kapaki -pakinabang para sa mga system kung saan ang baterya ay kailangang maging handa sa anumang sandali, tulad ng hindi mapigilan na mga suplay ng kuryente (UPS), pag -iilaw ng emergency, at mga generator ng standby.
Ang paggamit ng float charging ay nakakatulong na mapanatili ang pagiging maaasahan ng baterya, siguraduhin na maaari itong magbigay ng kapangyarihan kung kinakailangan.Binabawasan din nito ang pangangailangan para sa madalas na pagpapanatili at pagsubaybay, ginagawa itong isang praktikal at mahusay na paraan upang mapanatiling handa ang mga emergency power system.

Larawan 12: float charging diagram
Ang random charging ay isang pamamaraan na ginamit kapag ang power supply ay hindi maaasahan o nagbabago ng maraming.Ito ay madalas na nangyayari sa mga sitwasyon tulad ng mga sasakyan na may pagbabago ng bilis ng engine o mga solar panel na apektado ng panahon.
Sa mga sasakyan, ang bilis ng engine ay maaaring mag -iba ng maraming, na nagiging sanhi ng hindi regular na mga output ng kuryente na nagpapahirap para sa isang baterya na singilin nang maayos.Katulad nito, ang mga solar panel ay gumagawa ng koryente batay sa sikat ng araw, at maaaring mabago nang mabilis dahil sa mga ulap o oras ng araw.Ang mga pagbabagong ito ay maaaring maglagay ng maraming stress sa mga baterya kung hindi hawakan nang tama.
Upang harapin ang mga isyung ito, ang random charging ay gumagamit ng mga espesyal na pamamaraan upang pamahalaan ang mga variable na kondisyon ng singilin.Kasama dito ang mga advanced na algorithm at matalinong mga sistema ng singilin na nag-aayos sa mga pagbabago sa real-time sa mga pagbabago sa supply ng kuryente.Sa patuloy na pagsubaybay sa lakas ng pag -input at pag -adapt ng proseso ng singilin, pinoprotektahan ng mga sistemang ito ang baterya mula sa pinsala na dulot ng pagbabago ng kapangyarihan.
Tinitiyak din ng random na singilin ang baterya na gumagana nang maayos at tumatagal nang mas mahaba, kahit na may isang hindi pantay na mapagkukunan ng kuryente.Pinipigilan nito ang overcharging sa panahon ng pag -surge ng kuryente at tinitiyak na may sapat na singilin sa mga patak ng kapangyarihan.

Larawan 13: graph para sa random na singilin
Ang paggalugad ng iba't ibang mga paraan upang singilin ang mga baterya ay nagpapakita kung gaano kahalaga na mapabuti ang teknolohiya ng baterya upang matugunan ang lumalaking pangangailangan ng mga modernong aparato at system.Ang mga pangunahing pamamaraan tulad ng patuloy na boltahe at pare -pareho ang kasalukuyang, pati na rin ang mas advanced na mga pamamaraan tulad ng hybrid CVCC at patuloy na singilin ng kuryente, ang bawat isa ay may sariling mga pakinabang at pinakamahusay para sa mga tiyak na uri ng mga baterya at gamit.Ang pag -unlad sa mga materyales para sa mga electrodes, mga sistema ng pamamahala ng baterya, at ang paggamit ng matalinong teknolohiya ay mahalaga sa paggawa ng mga baterya na mas mahusay at mas ligtas.Ang hinaharap ng pagsingil ng baterya ay nakasalalay sa pagbuo at paggamit ng mga teknolohiyang ito upang matiyak na sila ay napapanatiling, mahusay, at maaasahan.
Mabagal na singilin: Ang pamamaraang ito ay gumagamit ng karaniwang AC (alternating kasalukuyang) kapangyarihan na matatagpuan sa mga setting ng tirahan.Ang mga charger ay nagpapatakbo sa mas mababang antas ng kuryente (hanggang sa 3 kW), na ginagawang angkop para sa magdamag na singilin.
Mabilis na singilin: Ang mga mabilis na charger ay gumagamit ng mas mataas na antas ng kapangyarihan ng AC (hanggang sa 22 kW) at matatagpuan sa mga istasyon ng pagsingil sa publiko.Maaari silang singilin ang isang baterya ng Electric Vehicle (EV) na mas mabilis kaysa sa mabagal na mga charger, karaniwang sa loob ng ilang oras.
Rapid Charging: Ito ang pinakamabilis na magagamit na charger, na gumagamit ng DC (Direct Current) na kapangyarihan.Maaari nilang i -kapangyarihan ang karamihan sa isang kapasidad ng baterya ng EV sa ilalim ng isang oras.Ang mga antas ng kapangyarihan ay nagsisimula mula sa paligid ng 50 kW at maaaring umakyat sa 350 kW para sa mga pinaka advanced na system.
Bawat Minute Charging: Ang istraktura ng pagpepresyo na ito ay naniningil ng mga gumagamit batay sa dami ng oras na konektado sa charger, anuman ang dami ng natupok na kuryente.
Bawat KWH Charging: Ito ay isang modelo ng pagpepresyo na batay sa paggamit kung saan ang mga gumagamit ay sinisingil batay sa kuryente na natupok ng kanilang sasakyan sa mga kilowatt-hour.Ang pamamaraang ito ay itinuturing na patas dahil direktang nakakaugnay ito sa enerhiya na ginamit.
Flat Rate Charging: Ang ilang mga istasyon ng singilin ay nag -aalok ng isang flat rate para sa isang tinukoy na window ng singilin, tulad ng isang oras o isang araw, at maaaring maging kapaki -pakinabang para sa mas matagal na paghinto.
Charging Mode 1: Ito ang pinakasimpleng anyo ng pagsingil ng EV, kung saan ang sasakyan ay konektado nang direkta sa isang karaniwang sambahayan na de -koryenteng outlet nang walang anumang espesyal na kagamitan.Ito ay mabagal at ginamit para sa mas maliit na mga sasakyan o magdamag na singilin sa bahay.
Pag-singil ng Mode 2: Ang mode na ito ay nagsasangkot din ng singilin mula sa isang karaniwang elektrikal na outlet ngunit may kasamang cable na may built-in na aparato ng proteksyon.Ang aparato na ito ay nag -iingat laban sa mga electric shocks at iba pang mga potensyal na peligro ng elektrikal, na ginagawang mas ligtas kaysa sa mode 1 at mas maraming nalalaman.
Iwasan ang matinding singilin: Huwag regular na singilin ang baterya sa 100% o hayaang maubos ito sa 0%.Panatilihin ang singil sa pagitan ng 20% at 80%.
Kontrol ng temperatura: Ang mga baterya ay nagpapatakbo ng pinakamahusay sa katamtamang temperatura.Iwasan ang paglantad ng baterya sa matinding sipon o init.
Gumamit ng mga inirerekomenda na charger ng tagagawa: Laging gamitin ang mga kagamitan sa singilin na inirerekomenda ng tagagawa ng sasakyan upang maiwasan ang pagsira sa baterya.
Regular na Paggamit at Pagpapanatili: Ang regular na paggamit at napapanahong mga tseke sa pagpapanatili ay makakatulong sa pagpapanatili ng kalusugan ng baterya.Ang mga mahabang panahon ng hindi aktibo ay maaaring magpabagal sa pagganap ng baterya.
Ang bilis ng pagsingil: Ang mabilis na singilin ay maginhawa ngunit maaaring ma -stress ang baterya.Ang mabagal o katamtamang bilis ng pagsingil ay mas kanais -nais para sa pang -araw -araw na paggamit upang mapalawak ang buhay ng baterya.
Kontrol ng temperatura: Ang pagsingil sa isang kinokontrol na kapaligiran kung saan ang temperatura ay katamtaman ay nakakatulong na mapanatili ang kalusugan at kahusayan ng baterya.
Saklaw ng singilin: Ang pagpapanatili ng estado ng baterya sa pagitan ng 20% at 80% sa regular na paggamit ay maaaring makaapekto sa kahabaan at pagganap nito.
Mangyaring magpadala ng isang pagtatanong, tutugon kami kaagad.
sa 2025/11/3
sa 2025/10/31
sa 8000/04/18 147757
sa 2000/04/18 111935
sa 1600/04/18 111349
sa 0400/04/18 83720
sa 1970/01/1 79508
sa 1970/01/1 66904
sa 1970/01/1 63028
sa 1970/01/1 63012
sa 1970/01/1 54081
sa 1970/01/1 52123