
A Plug Flow Reactor (PFR), na kilala rin bilang isang piston flow reaktor, ay isang mahalagang tool sa kemikal na engineering na ginamit upang pag -aralan kung paano nangyayari ang mga reaksyon ng kemikal sa loob ng isang mahabang tubo.Sa ganitong uri ng reaktor, ang mga likido ay pumped sa isang dulo at patuloy na gumagalaw sa pamamagitan ng tubo sa kabilang dulo sa isang palaging bilis.Ang daloy ay makinis at kahit na, na walang pag -agos o paghahalo sa daan.Nangangahulugan ito na ang mga likido ay naglalakbay sa magkahiwalay na mga layer o plug, na pinapanatili ang iba't ibang yugto ng reaksyon.Sa madaling salita, ang mga likido na pumapasok sa tubo nang mas maaga ay palaging nauna sa mga likido na pumapasok sa ibang pagkakataon, at hindi sila naghahalo sa bawat isa habang sila ay sumasabay.Makakatulong ito upang makontrol ang reaksyon ng kemikal dahil ang mga reaksyon ay pinananatiling maayos, na pinapayagan ang bawat bahagi ng reaksyon na mangyari nang hakbang -hakbang habang ang mga likido ay dumadaloy sa tubo.
Ang natatanging paraan na ang mga likido ay lumipat sa isang PFR ay may ilang mahahalagang benepisyo para sa mga reaksyon ng kemikal.Dahil walang paghahalo pabalik, ang bawat layer ng likido ay gumugugol ng parehong dami ng oras sa reaktor, na humahantong sa isang pare -pareho na proseso ng reaksyon.Ginagawa nitong mas madali upang mahulaan kung magkano ang gagawin ng produkto dahil pareho ang oras ng reaksyon para sa bawat bahagi ng likido.Maaari mong ayusin ang haba at lapad ng tubo, ang bilis ng daloy, at ang temperatura upang makontrol ang reaksyon at makuha ang pinakamahusay na mga resulta.Ang mga plug flow reaktor ay kapaki -pakinabang lalo na para sa mga reaksyon na nangangailangan ng mataas na temperatura o nagsasangkot ng mga gas dahil ang matatag na daloy ay nagpapanatili ng reaksyon sa ilalim ng kontrol.Karaniwang ginagamit ang mga ito sa mga industriya tulad ng pagpipino ng langis, paggawa ng plastik, at pagpapagamot ng mga basurang gas.Ang disenyo na ito ay mabuti rin para sa malakihang produksiyon dahil mas madaling hulaan at kontrolin kung ano ang nangyayari sa loob ng reaktor.
Ang mga plug flow reaktor (PFR) ay nailalarawan sa pamamagitan ng kanilang unidirectional flow, kung saan ang mga reaksyon at produkto ay eksklusibo na lumilipat sa isang pasulong na direksyon kasama ang haba ng reaktor.Ang naka-streamline na pattern ng daloy na ito ay nakamit sa pamamagitan ng pagdidisenyo ng reaktor bilang isang tubular conduit, na nagpapaliit sa anumang back-mixing ng mga elemento ng likido.Sa isang PFR, ang mga elemento ng likido, na madalas na tinutukoy bilang mga plug, mapanatili ang kanilang pagkakakilanlan habang sumusulong sila sa pamamagitan ng reaktor, nangangahulugang mayroong kaunting pagsasabog sa pagitan ng mga katabing plug.Ang maayos na paggalaw na ito ay mahalaga para sa pagkamit ng tumpak na kontrol sa mga kinetics ng reaksyon dahil ang bawat plug ay nakakaranas ng isang natatangi at mahuhulaan na hanay ng mga kondisyon ng reaksyon habang gumagalaw ito sa reaktor.Ang mga reaksyon sa inlet ay nakatagpo ng pinakamataas na konsentrasyon at ang pinakasariwang kapaligiran ng kemikal, na maaaring madiskarteng ma -leverage upang himukin ang mabilis na mga rate ng reaksyon.

Larawan 2. Plug flow reaktor (PFR) representasyon ng daloy ng daloy
Habang sumusulong ang mga plug, bumababa ang mga konsentrasyon ng reaksyon habang tumataas ang mga konsentrasyon ng produkto, kasunod ng isang sunud -sunod na proseso ng conversion kasama ang haba ng reaktor.Ang sistematikong pag -unlad na ito ay kapaki -pakinabang para sa mga reaksyon na nangangailangan ng mahigpit na kontrol ng stoichiometric o ang mga sensitibo sa pagbabagu -bago sa konsentrasyon.Sa pamamagitan ng pagpigil sa pag -recirculation at pagpapanatili ng isang pare -pareho na daloy ng direksyon, binabawasan ng mga PFR ang panganib ng mga reaksyon sa gilid na maaaring mangyari kung ang mga reaksyon at mga produkto ay ihalo o mag -recycle.Ginagawa nitong mainam ang mga PFR para sa mga proseso tulad ng polymerization, pagkasunog, o kumplikadong syntheses ng kemikal.Ang mahuhulaan na pattern ng daloy ay nagpapabuti sa kawastuhan ng reaksyon ng pagmomolde at scale-up, na ginagawang lubos na mahalaga ang mga PFR sa parehong mga aplikasyon ng pananaliksik at pang-industriya.
Ang isang pagtukoy ng katangian ng mga plug flow reaktor ay ang pag -unlad ng isang gradient ng konsentrasyon kasama ang haba ng reaktor.Sa pasilyo, ang mga reaksyon ay ipinakilala sa kanilang pinakamataas na konsentrasyon, na lumilikha ng isang puwersa sa pagmamaneho para magpatuloy ang reaksyon.Habang tumatagal ang reaksyon, patuloy na bumababa ang mga reaksyon ng reaksyon habang ang mga konsentrasyon ng produkto ay sabay -sabay na tumataas.Nagreresulta ito sa isang mahusay na tinukoy na gradient ng konsentrasyon na umuusbong mula sa inlet hanggang sa outlet ng reaktor.Ang gradient na ito ay matarik na malapit sa pasilyo, kung saan ang mga reaktor na konsentrasyon ay nasa kanilang rurok at ang rate ng reaksyon ay pinakamataas dahil sa kasaganaan ng mga reaksyon.Habang natupok ang mga reaksyon, ang gradient ay unti -unting nag -flattens, na sumasalamin sa nabawasan na rate ng reaksyon habang papalapit ang sistema ng balanse.
Ang kawalan ng back-mixing sa PFRS ay nagsisiguro na ang bawat plug ay nakakaranas ng isang natatanging kapaligiran ng konsentrasyon, na nagtataguyod ng mahusay at sunud-sunod na pag-convert ng reaksyon.Ang gradient ng konsentrasyon ay kapaki-pakinabang para sa mga reaksyon na may kinetics na umaasa sa konsentrasyon, kung saan ang rate ng reaksyon ay isang function ng reaktor na konsentrasyon.Sa mga ganitong kaso, ang mataas na reaksyon ng konsentrasyon sa inlet ay nag -maximize ng paunang rate ng reaksyon, na humahantong sa mahusay na paggamit ng mga reaksyon.Ang progresibong pagkonsumo ng mga reaksyon ay nagpapaliit sa panganib ng hindi kanais -nais na mga reaksyon sa panig na maaaring mangyari sa mga intermediate na konsentrasyon.Para sa mga proseso na kinasasangkutan ng mga mapagkumpitensyang reaksyon, ang gradient ng konsentrasyon ay maaaring pinamamahalaan upang pabor sa nais na landas ng produkto.Ginagawa nitong lubos na epektibo ang mga PFR para sa mga kumplikadong proseso ng synthesis, tulad ng sa industriya ng parmasyutiko o pinong kemikal, kung saan ang pagpili ng produkto at pag -optimize ng ani.
Ang isa sa mga pinaka -pakinabang ng mga plug flow reaktor ay ang unipormeng pamamahagi ng oras ng paninirahan.Sa isang PFR, ang bawat plug ng reaktor ay gumugugol ng parehong dami ng oras sa paglalakbay sa pamamagitan ng reaktor, mula sa inlet hanggang sa outlet.Tinitiyak ng pantay na oras ng paninirahan na ang lahat ng mga molekula ng reaksyon ay sumasailalim sa magkaparehong mga kondisyon ng reaksyon, kabilang ang mga temperatura, presyon, at mga profile ng konsentrasyon.Ang pagkakapare-pareho na ito ay nakamit dahil ang mga plug ay lumipat sa reaktor sa isang maayos, sunud-sunod na fashion nang walang anumang back-mix o pagkakalat ng radial.Dahil dito, walang pagkakaiba-iba sa oras na ginugol ng mga reaktor sa loob ng reaktor, na kung saan ay nasa kaibahan na kaibahan sa patuloy na pinukaw na mga reaktor na tinta (CSTR), kung saan ang mga reaksyon ay maaaring magkaroon ng malawak na iba't ibang mga oras ng paninirahan dahil sa masusing paghahalo.
Ang Oras ng Residence ng Uniporme ay mabuti para sa pagpapanatili ng pare -pareho ang kalidad ng produkto, lalo na sa mga kumplikadong proseso ng kemikal.Halimbawa, sa mga reaksyon ng polymerization, ang pare -pareho na oras ng paninirahan ay nagsisiguro ng pantay na haba ng chain ng polimer at pamamahagi ng molekular na timbang, na humahantong sa mahusay na pagganap ng produkto.Sa synthesis ng parmasyutiko, ginagarantiyahan nito ang pare -pareho ang kadalisayan ng kemikal at potensyal para sa pagsunod sa regulasyon at pagiging epektibo ng produkto.Ang mahuhulaan na pamamahagi ng oras ng paninirahan ay pinapadali ang pagmomolde ng kinetic at scale-up, na nagpapagana ng tumpak na kunwa ng pag-uugali ng reaksyon sa isang pang-industriya na sukat.Ang mahuhulaan na ito ay nagpapabuti sa control control at pag -optimize, na humahantong sa pagtaas ng pagiging produktibo at kahusayan sa gastos.
Ang mga plug flow reaktor ay kilala para sa kanilang mataas na kahusayan sa conversion bawat dami ng yunit, na kung saan ay higit sa patuloy na pinukaw na mga reaktor na tinta (CSTR).Sa mga PFR, ang mga reaksyon ay patuloy na natupok habang lumilipat sila sa reaktor, kasunod ng isang linear at progresibong landas ng reaksyon.Ang sunud -sunod na pagkonsumo na ito ay nagpapaliit sa konsentrasyon ng mga hindi nabuong species sa anumang punto kasama ang haba ng reaktor, na nagreresulta sa mas mataas na pangkalahatang mga rate ng conversion.Ang kawalan ng back-mixing ay nagbibigay-daan sa mga reaksyon na mailantad sa pinakamainam na mga kondisyon ng reaksyon sa buong paglalakbay, pag-maximize ang rate ng reaksyon at pag-minimize ng pagbuo ng mga hindi kanais-nais na mga produkto.Ito ay kapaki -pakinabang para sa mabilis o lubos na exothermic reaksyon na nangangailangan ng mabilis na pag -ubos ng reaksyon upang mapanatili ang kaligtasan at integridad ng produkto.
Sa ganitong mga kaso, ang disenyo ng plug flow ay nagpapadali ng epektibong pamamahala ng init sa pamamagitan ng pagpigil sa mga naisalokal na temperatura ng mga spike na maaaring humantong sa thermal runaway o pagkasira ng produkto.Ang mataas na kahusayan ng conversion ng mga PFR ay binabawasan ang kinakailangang dami ng reaktor, na humahantong sa mas maliit na mga bakas ng kagamitan at mas mababang mga gastos sa kapital.Ang kahusayan na ito ay isinasalin din sa nabawasan na mga gastos sa pagpapatakbo, dahil mas kaunting enerhiya at mas kaunting mga hilaw na materyales ang kinakailangan upang makamit ang nais na ani ng produkto.Ginagawa nitong kaakit-akit ang mga PFR para sa malakihang mga pang-industriya na aplikasyon, tulad ng pagproseso ng petrochemical, bulk na paggawa ng kemikal, at mga sistema ng paggamot sa kapaligiran.
Ang mga plug flow reaktor ay nagpapatakbo sa ilalim ng mga kondisyon ng matatag na estado, pagpapanatili ng pare-pareho ang mga rate ng daloy, mga profile ng konsentrasyon, at mga pamamahagi ng temperatura sa buong reaktor.Sa pagpapatakbo ng estado, ang mga rate ng pag-agos at pag-agos ay pare-pareho, tinitiyak ang isang tuluy-tuloy at walang tigil na proseso ng paggawa.Ang katatagan na ito ay mabuti para sa pagpapanatili ng pantay na kalidad ng produkto, na mahalaga sa mga industriya tulad ng petrochemical refining, polymer manufacturing, at malakihang synthesis ng kemikal.Ang matatag na estado na katangian ng PFRS ay nagpapasimple ng control control at automation dahil ang mga operating parameter ng system ay nananatiling pare-pareho sa paglipas ng panahon.
Ang mahuhulaan na ito ay nagpapaganda ng scalability at pagiging maaasahan ng proseso, binabawasan ang pagiging kumplikado ng pagsubaybay at pag -aayos ng mga kondisyon ng reaksyon.Bukod dito, ang operasyon ng matatag na estado ay nagpapaliit ng pagbabago sa komposisyon ng produkto, tinitiyak ang pare-pareho na kadalisayan ng kemikal at kalidad para sa mga produktong may mataas na halaga tulad ng mga parmasyutiko at mga espesyalista na kemikal.Ang operasyon ng matatag na estado ay nagpapadali din sa kahusayan ng enerhiya at pag-optimize ng proseso, dahil ang patuloy na mga kondisyon ng operating ay nagbibigay-daan para sa tumpak na kontrol ng mga proseso ng paglilipat ng thermal at masa.Ginagawa nitong angkop ang mga PFR para sa mga aplikasyon na nangangailangan ng mahigpit na kontrol sa mga kinetics ng reaksyon at pagpili ng produkto, na karagdagang nag -aambag sa pagtitipid ng gastos at pagpapanatili sa paggawa ng kemikal.
Ang mga plug flow reaktor ay idinisenyo upang suportahan ang mahusay na paglipat ng init at pamamahala ng mga temperatura sa mga reaksyon ng exothermic o endothermic.Ang pare-pareho na pattern ng daloy ay pinipigilan ang pag-mix ng back, na nagpapahintulot sa tumpak na kontrol sa temperatura kasama ang haba ng reaktor.Pinapayagan nito ang pagpapatupad ng mga kinokontrol na gradients ng temperatura o ang paggamit ng mga heat exchanger upang ma -optimize ang thermal management.Ang epektibong paglipat ng init ay hindi lamang nagpapabuti sa kahusayan ng enerhiya ngunit pinapahusay din ang pagpili ng produkto, na ginagawang perpekto ang mga PFR para sa mga reaksyon na sensitibo sa temperatura, tulad ng mga nasa pinong synthesis ng kemikal o mga proseso ng catalytic.Sa lubos na exothermic reaksyon, ang mga PFR ay tumutulong na mabawasan ang init, na pumipigil sa thermal runaway at tinitiyak ang ligtas na operasyon.Sa kabaligtaran, sa mga endothermic reaksyon, pinadali nila ang mahusay na supply ng init upang mapanatili ang mga rate ng reaksyon at kahusayan sa conversion.
Ang mga PFR ay maraming nalalaman at maaaring mapaunlakan ang gas-phase, likido-phase, at mga reaksyon ng heterogenous, kabilang ang mga kinasasangkutan ng mga katalista.Ang kakayahang umangkop na ito ay nagbibigay-daan sa kanila na magamit sa isang iba't ibang mga proseso ng kemikal, tulad ng gas-phase oksihenasyon, likido-phase polymerization, at catalytic hydrogenation.Ang disenyo ng daloy ng plug ay nag-maximize ng contact ng reaksyon-catalyst, pagpapahusay ng mga rate ng reaksyon at kahusayan ng katalista para sa mga pang-industriya na aplikasyon sa pagproseso ng petrochemical, paggawa ng polimer, at catalysis sa kapaligiran.
Ang isang plug flow reaktor (PFR) ay idinisenyo upang maging mahusay at kapaki -pakinabang sa pagproseso ng kemikal.Karaniwan itong mukhang isang mahaba, makitid na tubo o pipe, na nagbibigay -daan sa mga kemikal na daloy nang patuloy mula sa isang dulo hanggang sa isa pa.Sa loob ng tubo, walang mga tool sa paghahalo, tulad ng mga stirrer.Dahil dito, ang mga kemikal ay gumagalaw nang maayos, tulad ng isang piston, nang hindi pinagsama.Ang matatag na daloy na ito ay tumutulong sa mga reaksyon na mangyari nang pantay -pantay at nagbibigay -daan para sa mahusay na kontrol sa kung gaano kabilis ang mga ito.Ginagawa nitong kapaki -pakinabang ang mga PFR sa mga pabrika at industriya ng kemikal.

Larawan 3. Plug flow reaktor schematic
Ang diagram ay naglalarawan ng isang plug flow reaktor (PFR), isang uri ng reaktor ng kemikal na idinisenyo para sa patuloy na pagproseso ng kemikal.Sa pag -setup na ito, ang mga reaksyon ay pumasok sa inlet (x = 0) at gumalaw nang matatag sa pamamagitan ng isang cylindrical tube patungo sa outlet (x = L).Ang daloy sa loob ng reaktor ay naka-streamline, na nagpapanatili ng isang pare-pareho na profile ng bilis kung saan ang bawat elemento ng likido ay naglalakbay kahanay sa axis ng reaktor nang walang pag-mix.Ang pag -aayos na ito ay nagbibigay -daan sa mga reaksyon na unti -unting mai -convert sa mga produkto habang sumusulong sila sa haba ng reaktor.Ang shaded segment na minarkahan bilang 𝑑𝑥 ay kumakatawan sa isang maliit na elemento ng dami sa loob ng reaktor.Ang pagkakaiba -iba ng hiwa na ito ay kinakailangan para sa pagmomolde ng mga reaksyon ng kemikal na nagaganap sa loob ng PFR, dahil nakakatulong ito na suriin ang mga pagbabago sa rate ng reaksyon at konsentrasyon habang ang mga reaksyon ay sumulong.
Ang kawalan ng paghahalo ng radial ay nagpapanatili ng kondisyon ng daloy ng plug, tinitiyak na ang bawat elemento ng likido ay nagpapanatili ng pagkakakilanlan at komposisyon nito sa buong paglalakbay nito.Bilang isang resulta, ang mga rate ng konsentrasyon at reaksyon ay nag-iiba sa haba ng reaktor ngunit mananatiling pantay-pantay sa anumang cross-section.Ang katangian ng daloy ng plug na ito ay ginagawang angkop ang mga PFR para sa mga proseso ng kemikal na nangangailangan ng tumpak na kontrol sa oras ng reaksyon at pagbuo ng produkto.Dahil ang lahat ng mga elemento ng likido ay may parehong oras ng paninirahan, ang reaktor ay naghahatid ng pare -pareho ang kalidad ng produkto at mahusay na pag -convert ng reaksyon.Dahil sa mga pakinabang na ito, ang mga PFR ay malawakang ginagamit sa paggawa ng kemikal, kabilang ang mga aplikasyon tulad ng polymerization, reaksyon ng gas-phase, at mga proseso ng catalytic.
Ang isang plug flow reaktor (PFR) ay nagpapatakbo sa isang natatanging pattern ng daloy na nagpapanatili ng mga kondisyon ng reaksyon na naaayon sa buong haba nito.Pinapayagan ng disenyo na ito ang tumpak na kontrol sa oras ng paninirahan, temperatura, at presyon, na ginagawang lubos na mahusay ang mga PFR para sa mga proseso ng kemikal na nangangailangan ng tumpak na pamamahala ng reaksyon.Ang seksyong ito ay galugarin ang detalyadong mga prinsipyo ng pagpapatakbo ng mga PFR at ang kanilang kahalagahan sa pagproseso ng kemikal na pang -industriya.
Sa isang plug flow reaktor (PFR), ang mga likido ay patuloy na gumagalaw at pantay -pantay kasama ang isang cylindrical tube o pipe, na lumilikha ng isang napaka -organisadong pattern ng daloy.Ang mga reaksyon ay ipinakilala sa isang dulo ng reaktor at patuloy na dumadaloy hanggang sa kabilang dulo, kung saan lumabas sila bilang mga produkto.Tinitiyak ng disenyo na ito ang isang walang tahi na pag -unlad mula sa inlet hanggang outlet nang walang anumang pagkagambala sa paggalaw ng likido.Ang arkitektura ng reaktor ay nagpapanatili ng isang pare -pareho na direksyon ng daloy, mahigpit na pumipigil sa anumang paatras na paghahalo o pag -recirculation.Ang kilusang unidirectional na ito ay mahalaga para sa pagpapanatili ng integridad ng kemikal ng mga reaksyon at produkto habang naglalakbay sila sa reaktor.Ang isang pangunahing katangian ng pattern ng daloy na ito ay ang bawat maliit na segment, o plug, ng likido ay nagpapanatili ng sariling natatanging pagkakakilanlan ng kemikal habang gumagalaw ito sa reaktor.Ang mga plug na ito ay hindi naghahalo sa bawat isa sa ibang pagkakataon, tinitiyak na ang komposisyon sa loob ng bawat plug ay nananatiling pare -pareho sa buong paglalakbay nito.
Ang paghihiwalay ng mga segment ng likido ay nagpapanatili ng mga gradients ng konsentrasyon para sa mahusay na reaksyon ng kemikal.Ang kawalan ng paghahalo ng radial ay humahantong din sa isang mas mahuhulaan na profile ng reaksyon, na nagpapahintulot sa tumpak na pagmomolde at pag -optimize ng mga proseso ng kemikal.Ang naka -streamline na pattern ng daloy sa loob ng isang PFR ay nagpapaliit ng kaguluhan at magulong paggalaw, na tumutulong na mapanatili ang integridad ng mga stream ng reaktor.Ang maayos na daloy na ito ay sumusuporta sa mataas na kahusayan ng conversion dahil ang mga reaksyon ay patuloy na nakakaranas ng parehong mga kondisyon ng reaksyon habang dumadaan sila sa reaktor.Ang kawalan ng back-mixing ay nagsisiguro na ang oras ng paninirahan ng bawat plug ay magkapareho, na humahantong sa pantay na pagkakalantad sa temperatura at presyon.Ang pagkakapareho na ito ay nagpapabuti sa mga rate ng reaksyon at nagpapabuti sa pagpili ng produkto, na nagreresulta sa isang mas kontrolado at mahusay na proseso ng kemikal.Dahil sa tumpak na kontrol sa mga pattern ng daloy at mga kondisyon ng reaksyon, ang mga PFR ay angkop para sa mga reaksyon na nangangailangan ng isang pare -pareho na kapaligiran upang makamit ang mataas na ani at pagpili.

Larawan 4. Plug flow reactor (PFR) Patuloy na daloy at pag -unlad ng reaksyon
Ang kakayahan ng reaktor na mapanatili ang matatag na estado na operasyon na may kaunting pagbabagu-bago sa konsentrasyon o temperatura ay ginagawang isang mainam na pagpipilian para sa industriya ng kemikal at parmasyutiko.Sa mga sektor na ito, ang pagpapanatili ng pagkakapare -pareho ng produkto at kalidad ay mahalaga, at ang mahuhulaan na pagganap ng mga PFR ay sumusuporta sa mga kinakailangang ito nang epektibo.Ang scalability ng mga PFR ay karagdagang nagpapabuti sa kanilang utility sa mga pang -industriya na aplikasyon.Ang kanilang modular na disenyo ay nagbibigay -daan para sa madaling pagsasaayos ng haba ng reaktor at diameter upang mapaunlakan ang iba't ibang mga kapasidad ng produksyon.Ang kakayahang umangkop na ito, na sinamahan ng kanilang mahusay na mga katangian ng daloy, ay gumagawa ng mga PFR na isang ginustong pagpipilian para sa malakihang patuloy na pagproseso.Bilang isang resulta, malawak na ginagamit ang mga ito sa mga proseso tulad ng polymerization, hydrogenation, at catalytic reaksyon, kung saan ang pagpapanatili ng isang kinokontrol na reaksyon ng reaksyon ay kailangan para sa kalidad ng produkto at kahusayan sa proseso.
Nag -aalok ang mga plug flow reaktor (PFR) ng maraming mga pakinabang para sa mga pagbabagong kemikal.Nagbibigay ang mga ito ng tumpak na kontrol sa reaksyon sa pamamagitan ng pagpapanatili ng isang matatag na rate ng daloy at maiwasan ang pag-mix ng back, tinitiyak na ang bawat plug ng mga karanasan sa reaksyon ay pare-pareho ang mga kondisyon ng reaksyon.Pinahuhusay nito ang kahusayan at binabawasan ang mga by-product, na mahalaga para sa mga sensitibong reaksyon tulad ng alkohol na oksihenasyon o paggawa ng pigment.Naghahatid din ang mga PFR ng mataas na kadalisayan at pagkakapare -pareho ng produkto dahil ang lahat ng mga reaksyon ay sumailalim sa parehong oras at kundisyon ng reaksyon.Sa pamamagitan ng pag-iwas sa back-mixing, pinapabuti nila ang pagpili at binabawasan ang mga hindi ginustong mga reaksyon sa gilid, na ginagawang perpekto para sa mga kumplikadong proseso ng kemikal.Bilang karagdagan, ang mga PFR ay sumusuporta sa patuloy na produksyon, pag-minimize ng downtime at pagbabawas ng mga gastos, na nagpapabuti ng kahusayan sa malakihang pagmamanupaktura.Ang kanilang scalability at kakayahang umangkop ay nagbibigay-daan para sa madaling pagsasaayos ng mga rate ng daloy at mga sukat ng reaktor, tinitiyak ang pare-pareho na mga resulta mula sa pilot-scale hanggang sa buong-scale na paggawa.Ang mga pakinabang na ito ay ginagawang PFRS ng isang ginustong pagpipilian para sa kinokontrol na mga pagbabagong kemikal sa mga industriya na nangangailangan ng mataas na katumpakan at kahusayan.
Ang mga plug flow reaktor (PFR) ay idinisenyo upang mapanatili ang isang pantay na daloy, tinitiyak na ang lahat ng mga partikulo ng reaksyon ay naglalakbay sa reaktor sa parehong bilis.Ang pagkakapareho na ito ay ginagarantiyahan na ang bawat infinitesimal plug ng likido, na naglalaman ng mga molekula ng reaksyon, magkaparehong mga oras ng paninirahan habang lumilipat ito mula sa inlet hanggang sa outlet.Bilang isang resulta, ang bawat molekula na pumapasok sa reaktor ay nakalantad sa pare -pareho ang mga kondisyon ng reaksyon, kabilang ang temperatura, presyon, at mga gradients ng konsentrasyon, dahil ito ay umuusbong sa pamamagitan ng landas ng reaksyon.Ang pantay na pattern ng daloy na ito ay nagpapaliit ng mga pagkakaiba -iba sa mga rate ng reaksyon, na humahantong sa mas mahuhulaan at makokontrol na mga pagbabagong kemikal.At dahil walang pag -ilid ng paghahalo sa loob ng bawat plug, ang profile ng konsentrasyon ay nananatiling malinaw na tinukoy kasama ang haba ng reaktor, na nagpapahintulot sa tumpak na kontrol sa mga kinetics ng reaksyon at mga rate ng conversion.Ang katangian na ito ay ginagawang kapaki -pakinabang ang mga PFR para sa pagsasagawa ng mga reaksyon na nangangailangan ng mahigpit na pamamahala ng oras ng paninirahan upang makamit ang pinakamainam na ani.
Ang pattern ng daloy ng plug sa mga PFR ay epektibong nag-aalis ng back-mixing o recirculation ng mga reaksyon, isang karaniwang isyu sa iba pang mga uri ng reaktor tulad ng patuloy na hinalo na mga reaktor ng tangke (CSTR).Sa pamamagitan ng pagpigil sa anumang pakikipag -ugnayan sa pagitan ng mga reaksyon sa iba't ibang yugto ng pag -convert, ang mga PFR ay nagpapaganda ng kahusayan ng reaksyon at matiyak ang isang mas pantay na komposisyon ng produkto.Ang kakulangan ng back-mixing na ito ay nagpapaliit din sa pagbuo ng mga hindi kanais-nais na mga produkto, dahil ang mga reaksyon ay hindi maaaring makipag-ugnay sa mas advanced na mga tagapamagitan ng reaksyon o pangwakas na mga produkto.Ang nagresultang pantay na kapaligiran ng reaksyon ay kapaki -pakinabang para sa mga kumplikadong sistema ng kemikal para sa pagpili at kadalisayan ng produkto.Dahil dito, ang mga PFR ay malawakang ginagamit sa mga industriya na nangangailangan ng synthesis ng kemikal na may mataas na katumpakan, tulad ng mga parmasyutiko at mga specialty na kemikal.Ang kanilang kakayahang mapanatili ang pare-pareho na mga kondisyon ng reaksyon habang ang pag-iwas sa kontaminasyon ng cross sa pagitan ng mga yugto ng reaksyon ay nagpapakita ng kanilang kahalagahan sa mga modernong proseso ng engineering ng kemikal.
Sa isang plug flow reaktor (PFR), ang oras na ang bawat pangkat ng mga molekula ng reaksyon ay gumugol sa loob ng reaktor ay pare -pareho, na napakahalaga para sa pagkuha ng pinakamahusay na mga rate ng reaksyon at mataas na kahusayan sa conversion.Sa isang PFR, ang mga reaksyon ay pumapasok bilang hiwalay na mga plug na lumilipat sa reaktor sa parehong bilis, nangangahulugang ang bawat plug ay nakakaranas ng parehong mga kondisyon, tulad ng temperatura at presyon, habang naglalakbay ito.Ang pagkakalantad kahit na ito ay nagbibigay -daan para sa tumpak na kontrol sa kung gaano kalayo ang reaksyon at kung anong mga produkto ang ginawa.Dahil ang bawat plug ay nakakakuha ng parehong paggamot, ang mga pagkakataong hindi kanais -nais na mga reaksyon sa gilid o pagkakaiba -iba sa kalidad ng produkto ay lubos na nabawasan.Ginagawa nitong kapaki -pakinabang ang mga PFR para sa mga reaksyon na sensitibo sa mga pagbabago sa temperatura, presyon, o oras.Sa pamamagitan ng pagbibigay ng isang matatag at mahuhulaan na kapaligiran, ang mga PFR ay tumutulong na makamit ang pare -pareho at maaasahang mga resulta ng reaksyon, na humahantong sa na -optimize na mga rate ng reaksyon.
Pinipigilan din ng mga PFR ang paghahalo ng mga reaksyon sa kahabaan ng landas ng daloy, na tumutulong sa pagkontrol ng reaksyon nang mas epektibo.Hindi tulad ng patuloy na pinukaw na mga reaktor ng tangke (CSTR), kung saan ang mga reaksyon ay patuloy na halo -halong, ang mga PFR ay nagpapanatili ng isang matatag na daloy kung saan ang mga reaksyon ay sumulong nang hindi naghahalo sa mga plug sa likod o nangunguna sa kanila.Tinitiyak nito na ang mga reaksyon ay unti -unting na -convert sa mga produkto habang lumilipat sila sa reaktor, na tumutulong na maiwasan ang overreaction o underreaction.Ang tumpak na kontrol sa oras ng reaksyon at konsentrasyon ay nagpapabuti sa pagpili para sa nais na produkto, na nagreresulta sa mas mataas na ani at mas mahusay na pangkalahatang kahusayan.Ang antas ng kontrol na ito ay mahalaga para sa mga kumplikadong reaksyon na gumagawa ng mga intermediate species, dahil pinapayagan nito ang maingat na pamamahala ng mga tagapamagitan upang maiwasan ang mga hindi ginustong mga reaksyon sa gilid.Dahil dito, ang mga PFR ay malawakang ginagamit sa mga industriya kung saan kinakailangan ang mataas na pagpili, pagiging produktibo, at pare -pareho ang kalidad ng produkto.
Ang matatag na pattern ng daloy ng katangian ng mga plug flow reaktor (PFR) ay nagsisiguro ng pantay na temperatura at mga profile ng presyon sa buong haba ng reaktor.Ang pagkakapareho na ito ay mabuti sa pagpigil sa mga naisalokal na hot spot o malamig na mga zone na maaaring negatibong nakakaapekto sa mga rate ng reaksyon at kalidad ng produkto.Sa mga proseso ng kemikal, ang mga pagkakaiba-iba ng temperatura ay maaaring humantong sa hindi pantay na mga rate ng reaksyon, na nagiging sanhi ng pagbuo ng hindi kanais-nais na mga produkto o hindi pantay na ani ng produkto.Sa pamamagitan ng pagpapanatili ng isang pare -pareho na profile ng temperatura, pinapagana ng mga PFR ang mas tumpak na kontrol sa mga kinetics ng reaksyon, tinitiyak na ang mga reaksyon ng kemikal ay nagpapatuloy sa inilaang rate.Ang kontrol na ito ay kapaki -pakinabang para sa lubos na exothermic o endothermic reaksyon, kung saan kahit na ang menor de edad na pagbabago ng temperatura ay maaaring humantong sa mga reaksyon ng runaway o hindi kumpletong mga conversion.Ang pantay na pamamahagi ng temperatura ay nag -aambag sa pinahusay na kaligtasan, pagkakapare -pareho ng produkto, at pangkalahatang pagiging maaasahan ng proseso.
Bilang karagdagan sa pagkakapareho ng temperatura, ang matatag na pattern ng daloy sa PFRS ay nagsisiguro din ng pare -pareho na mga profile ng presyon sa haba ng reaktor.Ang isang matatag na kapaligiran ng presyon ay tumutulong na mapanatili ang nais na mga rate ng daloy at mga reaktor na konsentrasyon para sa pagkamit ng pinakamainam na kahusayan sa conversion.Ang pagkakapare -pareho na ito ay nagpapabuti sa kahusayan ng paglipat ng init at masa, na nagpapahintulot sa mga reaksyon na makipag -ugnay nang pantay -pantay sa katalista o daluyan ng reaksyon.Ang pinahusay na paglipat ng masa ay nagpapaliit sa mga gradients ng konsentrasyon, na kung hindi man ay limitahan ang mga rate ng reaksyon at mas mababang kahusayan ng conversion.Ang pantay na presyon at mga profile ng temperatura ay nagbabawas ng mekanikal na stress sa mga dingding ng reaktor, ang pagpapahaba ng buhay ng kagamitan at pagbabawas ng mga gastos sa pagpapanatili.Sama -sama, ang kakayahan ng mga PFR upang mapanatili ang matatag na temperatura at mga kondisyon ng presyon ay nag -maximize ng kahusayan ng reaksyon at kalidad ng produkto habang tinitiyak ang ligtas at maaasahang operasyon.
Ang mga plug flow reaktor (PFR) ay nagbibigay ng mga pakinabang sa pagkontrol sa pagpili ng reaksyon dahil sa kanilang pare-pareho na pattern ng daloy at ang kawalan ng back-mixing.Sa isang PFR, ang mga reaksyon ay lumipat sa reaktor bilang isang plug, pinapanatili ang kanilang mga kamag -anak na posisyon sa buong haba ng reaktor.Ang pattern ng unidirectional flow na ito ay nagbibigay -daan para sa isang mahuhulaan na pag -unlad ng reaksyon ng kemikal, dahil ang mga reaksyon ay patuloy na natupok sa haba ng reaktor.Habang ang mga reaksyon ay maubos, ang isang gradient ng konsentrasyon ay natural na itinatag, na patuloy na nagtutulak ng reaksyon pasulong.Tinitiyak ng gradient na ang mga reaksyon ay nakalantad sa pinakamainam na mga kondisyon ng reaksyon sa bawat punto kasama ang reaktor, na nagtataguyod ng mahusay na mga rate ng conversion.Ang maayos na daloy ay nagpapaliit sa posibilidad ng napaaga na paghahalo ng mga reaksyon at mga produkto, na pinapanatili ang inilaan na landas ng reaksyon at pagpapahusay ng pagpili.Ang kawalan ng back-mixing ay hindi lamang nag-aambag sa mas mahusay na kontrol sa kapaligiran ng reaksyon ngunit nakakatulong din na mapanatili ang isang sharper transition sa pagitan ng mga reaksyon na mayaman at mga zone na mayaman sa produkto, na-optimize ang pangkalahatang kahusayan ng reaksyon.
Ang katangian ng daloy na ito ay kapaki-pakinabang para sa mga reaksyon na sumusunod sa mga first-order o mas mataas na order na kinetics, kung saan ang rate ng reaksyon ay direktang naiimpluwensyahan ng mga reaksyon na konsentrasyon.Sa ganitong mga kaso, ang gradient ng konsentrasyon sa kahabaan ng haba ng reaktor ay nagsisiguro na ang rate ng reaksyon ay palaging mataas kung saan ang mga konsentrasyon ng reaktor ay pinakadakila, ang pag -taping habang ang mga reaksyon ay maubos.Ang kakulangan ng paghahalo ng radial sa mga PFR ay ginagarantiyahan na ang lahat ng mga molekula ng reaksyon ay pantay na nakalantad sa mga kondisyon ng katalista o reaksyon, na pumipigil sa mga naisalokal na pagkakaiba-iba na maaaring humantong sa mga reaksyon sa gilid o ang pagbuo ng mga hindi kanais-nais na mga produkto.Ang pantay na pagkakalantad na ito ay nagpapabuti sa pagpili patungo sa nais na produkto, dahil binabawasan nito ang mga pagkakataon na makipagkumpetensya sa mga reaksyon na nangyayari sa ilalim ng iba't ibang mga kondisyon ng konsentrasyon.Sa pamamagitan ng pagpapanatili ng isang kinokontrol na kapaligiran at pag -iwas sa mga paglihis sa mga reaktor na konsentrasyon, ang mga PFR ay nag -aalok ng higit na kontrol sa mga landas ng reaksyon, pag -maximize ang ani at kadalisayan ng produkto.
Ang pagpili sa pagitan ng isang tuluy -tuloy na hinalo na tanke ng reaktor (CSTR) at isang plug flow reaktor (PFR) ay nakasalalay sa mga tiyak na pangangailangan ng isang proseso ng kemikal.Ang dalawang uri ng reaktor na ito ay may natatanging mga prinsipyo sa pagpapatakbo at angkop para sa iba't ibang mga kinetics ng reaksyon.Ang pag -unawa sa kanilang mga pagkakaiba ay nakakatulong sa pagpili ng pinaka mahusay na reaktor para sa isang naibigay na aplikasyon.
Ang mga CSTR (patuloy na hinalo na mga reaktor ng tangke) ay idinisenyo upang makamit at mapanatili ang perpektong mga kondisyon ng paghahalo, tinitiyak na ang konsentrasyon, temperatura, at presyon ay mananatiling pantay sa buong dami ng reaktor.Nangangahulugan ito na ang anumang mga reaksyon na pumapasok sa system ay agad at ganap na halo -halong may mga nilalaman na nasa loob, na humahantong sa isang homogenous na halo sa lahat ng oras.Dahil sa mahusay na halo-halong kalikasan na ito, ang stream ng output na umaalis sa reaktor ay may magkaparehong komposisyon sa panloob na reaksyon na pinaghalong, tinitiyak ang matatag na estado na operasyon.Ang katangian na ito ay kapaki -pakinabang para sa mga reaksyon na nangangailangan ng matatag na mga kondisyon ng operating, dahil pinapayagan nito para sa tumpak na kontrol sa mga parameter ng reaksyon.Ang mahusay na halo-halong kapaligiran ay pinapasimple ang pagmomolde ng kinetic dahil ang mga rate ng reaksyon ay nananatiling pare-pareho sa reaktor.Ang mahuhulaan na ito ay kapaki -pakinabang para sa mga reaksyon ng exothermic na nagdudulot ng panganib ng thermal runaway, dahil ang mahusay na pagwawaldas ng init sa buong reaktor ay nagpapaliit sa posibilidad ng mga naisalokal na hot spot.Bilang isang resulta, ang mga CSTR ay karaniwang ginagamit sa malakihang mga pang-industriya na aplikasyon kung saan ang pagpapanatili ng isang kinokontrol at pantay na reaksyon ng kapaligiran ay kailangan para sa parehong kaligtasan at kahusayan.

Larawan 5. Paghahambing ng perpektong paghahalo kumpara sa segment na daloy sa mga reaktor
Sa kaibahan, ang mga PFR (plug flow reaktor) ay nagpapatakbo sa ilalim ng isang segment o rehimen ng plug flow, kung saan ang mga indibidwal na elemento ng likido o mga plug ay sunud -sunod sa pamamagitan ng reaktor nang hindi naghahalo sa ibang pagkakataon sa isa't isa.Ang pattern ng daloy na ito ay nagtatatag ng isang gradient ng konsentrasyon sa kahabaan ng haba ng reaktor, na nangangahulugang ang mga konsentrasyon ng reaktor ay pinakamataas sa pumapasok at unti -unting bumababa habang natupok sila sa reaksyon, habang ang mga konsentrasyon ng produkto ay tumataas patungo sa outlet.Dahil ang bawat plug ay nagpapanatili ng natatanging komposisyon ng kemikal sa buong paglalakbay nito, ang reaksyon ay umuusbong sa isang kinokontrol at mahuhulaan na paraan kasama ang direksyon ng axial ng reaktor.Hindi tulad ng mga CSTR, na ipinapalagay ang agarang paghahalo, pinapayagan ng mga PFR para sa isang unti -unting pagbabagong -anyo ng mga reaksyon sa mga produkto, gayahin ang pag -uugali ng mga reaktor ng batch ngunit sa isang tuluy -tuloy na batayan.Ang pag-uugali ng daloy na ito ay kapaki-pakinabang sa mga reaksyon kung saan ang pag-minimize ng back-mixing ay kinakailangan upang makamit ang mataas na kahusayan sa conversion.Ang kawalan ng kumpletong paghahalo ay nagsisiguro na ang mga reaksyon ay gumugol ng isang tinukoy na halaga ng oras sa reaktor, na nagpapahintulot na magdisenyo ng mga reaktor na may na -optimize na mga oras ng paninirahan para sa mga tiyak na reaksyon.
Ang mga naka -segment na katangian ng daloy ng mga PFR ay nag -aalok ng mga pakinabang para sa mga reaksyon na nangangailangan ng tumpak na kontrol sa mga kinetics ng reaksyon at pagpili ng produkto.Sa pamamagitan ng pagpigil sa pagbabanto ng mga intermediate species sa pamamagitan ng paghahalo, pinapagana ng mga PFR ang mas mahusay na pagmamanipula ng mga landas ng reaksyon para sa pag-optimize ng selectivity at pag-minimize ng pagbuo ng mga hindi ginustong mga produkto.Mahalaga ito sa mga industriya tulad ng petrochemical at parmasyutiko, kung saan ang kadalisayan ng pangwakas na produkto ay isang pangunahing pag -aalala.Ang kakayahang mapanatili ang natatanging mga komposisyon ng kemikal sa loob ng bawat plug ay nagbibigay -daan para sa mas mahusay na paggamit ng mga catalysts, dahil ang mga reaksyon ay nakatagpo ng pinakamainam na mga kondisyon sa buong kanilang pag -unlad.Habang ang mga CSTR ay nagbibigay ng bentahe ng matatag na estado na operasyon at kadalian ng kontrol, ang mga PFR ay mas mahusay na angkop para sa mga senaryo kung saan ang pag-maximize ng conversion at pagpapanatili ng mahigpit na kinetic control ay mga prayoridad.Ang pagpili sa pagitan ng isang CSTR at isang PFR ay nakasalalay sa mga tiyak na kinakailangan ng reaksyon, kabilang ang mga kadahilanan tulad ng nais na ani ng produkto, pamamahala ng init, at mga hadlang sa oras ng reaksyon.
Ang daloy ng dinamika sa isang plug flow reaktor (PFR) ay maaaring maunawaan bilang isang serye ng sobrang manipis, perpektong halo -halong tuluy -tuloy na pinukaw na mga reaktor ng tangke (CSTR) na sunud -sunod na nakaayos sa haba ng reaktor.Ang bawat isa sa mga miniature na CSTR na ito ay nagsisiguro ng kumpletong paghahalo sa direksyon ng radial habang pinapanatili ang isang mahigpit na paghihiwalay sa direksyon ng ehe, nangangahulugang walang paatras na paghahalo sa pagitan ng iba't ibang mga segment.Ang natatanging katangian na ito ay nagbibigay -daan para sa pagtatatag ng isang tuluy -tuloy at unti -unting gradient ng konsentrasyon, kung saan ang mga reaktor na konsentrasyon ay patuloy na bumababa habang ang mga konsentrasyon ng produkto ay tumataas habang ang reaksyon ay umuusbong mula sa inlet hanggang sa outlet.Dahil sa disenyo na ito, ang mga PFR ay epektibong nagtutulak ng mga reaksyon ng kemikal na pasulong na may higit na kahusayan, tinitiyak na ang mga reaksyon ay sumailalim sa isang kinokontrol na pagbabagong-anyo sa mga produkto nang walang panganib ng pag-unlad ng reaksyon ng pag-mix ng back-mix.Ang modelong daloy ng segment na ito ay lubos na kapaki-pakinabang para sa tumpak na pag-simulate ng kumplikadong mga kinetics ng reaksyon, dahil pinapayagan nito ang mahuhulaan ang mga rate ng reaksyon at i-optimize ang mga sukat ng reaktor batay sa ebolusyon na umaasa sa oras ng mga reaksyon at produkto.Ang kakayahang tumpak na makontrol ang mga kondisyon ng reaksyon sa kahabaan ng haba ng reaktor ay ginagawang kapaki -pakinabang ang mga PFR para sa mga proseso na nangangailangan ng mga tiyak na pagkakasunud -sunod ng reaksyon, tulad ng mga kinasasangkutan ng maraming mga hakbang sa reaksyon o mga tagapamagitan na nangangailangan ng tumpak na pagkakalantad sa mga reaksyon bago lumipat sa susunod na yugto.
Sa kabilang banda, ang patuloy na pinukaw na mga reaktor ng tanke (CSTRS) ay gumana sa ilalim ng prinsipyo ng kumpleto at pantay na paghahalo sa buong dami ng reaktor, tinitiyak na ang lahat ng mga molekula ng reaksyon ay pantay na ipinamamahagi at nakalantad sa magkaparehong mga kondisyon ng reaksyon.Gayunpaman, ang kumpletong paghahalo na ito ay nagreresulta sa isang malawak na pamamahagi ng oras ng paninirahan, na nangangahulugang hindi lahat ng mga molekula ng reaksyon ay gumugol ng parehong oras sa loob ng reaktor.Ang ilang mga molekula ay maaaring lumabas din sa system sa lalong madaling panahon, bago sumailalim sa isang kumpletong reaksyon, habang ang iba ay maaaring manatili sa reaktor para sa isang pinalawig na panahon, na potensyal na humahantong sa overreaction o hindi kanais -nais na mga reaksyon sa gilid.Ang pagkakaiba -iba na ito sa oras ng paninirahan ay maaaring direktang makakaapekto sa pagkakapare -pareho at kalidad ng pangwakas na produkto, na ginagawang mas mainam ang mga CSTR para sa mga reaksyon na nangangailangan ng tumpak na kontrol sa oras ng paninirahan o kahusayan ng conversion.Sa mga pang-industriya na aplikasyon kung saan kinakailangan ang pagkakapareho ng reaksyon at matatag na estado, ang mga CSTR ay mananatiling isang tanyag na pagpipilian dahil sa kanilang kadalian ng operasyon at kakayahang hawakan ang malakihang patuloy na paggawa.Gayunpaman, para sa lubos na pumipili na mga reaksyon o ang mga kinasasangkutan ng maraming mga hakbang sa reaksyon, ang mga PFR ay madalas na nagbibigay ng mahusay na pagganap sa pamamagitan ng pagtiyak na ang mga reaksyon ay sumusunod sa isang mahusay na tinukoy at mahuhulaan na landas ng reaksyon nang walang kawalan ng katuparan na nauugnay sa malawak na mga pamamahagi ng oras ng paninirahan sa CSTR.
Ang patuloy na pinukaw na mga reaktor ng tangke (CSTR) ay nagbibigay ng isang mahusay na halo-halong at matatag na reaksyon ng reaksyon, na ginagawang kapaki-pakinabang para sa mga proseso ng kemikal na nagsasangkot ng mabagal na reaksyon kinetics o nangangailangan ng tumpak na regulasyon ng thermal.Dahil ang mga konsentrasyon ng reaksyon ay nananatiling pare -pareho sa buong reaktor dahil sa patuloy na pagpapakilos, ang mga rate ng reaksyon ay maaaring mapanatili sa matatag na antas, tinitiyak ang mahuhulaan na pagganap.Ito ay kapaki-pakinabang para sa mga reaksyon kung saan ang pagpapanatili ng isang pantay na profile ng konsentrasyon ay kinakailangan upang mapanatili ang pag-unlad ng reaksyon, pati na rin para sa mga reaksyon na limitado ng balanse kung saan ang patuloy na muling pagdadagdag ng reaksyon ay kapaki-pakinabang.Ang patuloy na pagkabalisa sa isang CSTR ay nagpapadali ng mahusay na pamamahagi ng init, na pumipigil sa mga pagkakaiba -iba ng mga pagkakaiba -iba ng temperatura na maaaring humantong sa kawalang -tatag ng reaksyon o hindi ginustong mga reaksyon sa gilid.Sa pamamagitan ng pagpapanatili ng pantay na mga kondisyon ng thermal, binabawasan ng mga CSTR ang mga panganib na nauugnay sa mga reaksyon ng exothermic, tulad ng biglaang mga spike ng temperatura na maaaring makompromiso ang kaligtasan o kalidad ng produkto.Ang kakayahang umayos ang temperatura at konsentrasyon na may mataas na katumpakan ay ginagawang CSTRS ang isang ginustong pagpipilian para sa mga malalaking proseso ng pang-industriya para matiyak ang pagkakapareho ng produkto, pag-minimize ng mga reaksyon sa gilid, at pagpapanatili ng kaligtasan sa pagpapatakbo.
Sa kaibahan, ang mga plug flow reaktor (PFR) ay nag -aalok ng isang natatanging kalamangan pagdating sa kinetic control at reaksyon na kahusayan para sa mga proseso na nangangailangan ng mataas na pagpili at mahuhulaan na mga rate ng conversion.Ang unidirectional flow ng mga reaksyon sa pamamagitan ng isang PFR ay nagsisiguro na ang bawat molekula ay sumusunod sa isang mahusay na tinukoy na landas sa pamamagitan ng reaktor, nakakaranas ng isang pare-pareho na oras ng paninirahan nang walang pag-mix o napaaga na pagbabanto.Ang kinokontrol na pag -unlad ng mga reaksyon ay nagbibigay -daan para sa tumpak na pagmamanipula ng mga kondisyon ng reaksyon, na mahalaga para sa mabilis, hindi maibabalik na mga reaksyon kung saan ang mga reaksyon ay dapat sumailalim sa kumpletong pagbabagong -anyo bago lumabas ang reaktor.Ang kawalan ng back-mixing ay nagbibigay-daan din sa mas mahusay na kontrol sa mga intermediate species, na tinitiyak na ang bawat yugto ng reaksyon ay nangyayari sa ilalim ng pinakamainam na mga kondisyon upang ma-maximize ang pagpili.Sa pamamagitan ng pagpapanatili ng isang matatag na gradient ng konsentrasyon at pagpapagana ng mahusay na pag -unlad ng reaksyon, ang mga PFR ay nagbibigay ng higit na mahusay na pagganap para sa mga proseso na humihiling ng mataas na kahusayan ng conversion, na ginagawang sila ang ginustong pagpipilian para sa mga aplikasyon kung saan ang pag -maximize ng ani at kadalisayan ng produkto ay isang pangunahing prayoridad.
Ang patuloy na pinukaw na mga reaktor ng tangke (CSTR) ay malawak na nagtatrabaho sa mga pang -industriya na proseso para sa patuloy na paghahalo at pagpapanatili ng mga pantay na kondisyon ng reaksyon.Ang isa sa mga pinaka -karaniwang aplikasyon ng CSTRS ay sa mga proseso ng pagbuburo, kung saan ang mga microorganism o enzymes ay nangangailangan ng isang pare -pareho na kapaligiran upang mapanatili ang pinakamainam na aktibidad na metabolic.Tinitiyak ng patuloy na pagkabalisa na ang mga sustansya, oxygen, at iba pang mga reaksyon ay pantay na ipinamamahagi sa buong sistema, na pumipigil sa naisalokal na pag -ubos na maaaring hadlangan ang paglaki ng microbial o kahusayan ng enzymatic.Ang mga CSTR ay lubos na epektibo para sa paghawak ng lubos na malapot na likido, tulad ng mga nakatagpo sa mga reaksyon ng polymerization, kung saan ang pagpapanatili ng pantay na pag -iingat ay kinakailangan upang makamit ang pare -pareho na pamamahagi ng timbang ng molekular at maiwasan ang naisalokal na pagbuo ng gel.Ang kanilang kakayahang magbigay ng tumpak na kontrol sa temperatura ay isa pang pangunahing kadahilanan sa kanilang pang -industriya na utility, para sa mga reaksyon ng exothermic na nangangailangan ng mahusay na pagwawaldas ng init upang maiwasan ang thermal runaway.Ang mga kondisyon ng homogenous sa loob ng isang CSTR ay ginagawang isang mainam na pagpipilian para sa mga reaksyon ng likido-phase, kung ang kalidad ng produkto at katatagan ng proseso ay kahalagahan.Ang mga industriya na umaasa sa CSTRS ay kasama ang mga parmasyutiko, pinong kemikal, paggamot ng wastewater, at paggawa ng pagkain at inumin, kung saan ang pagkakapare -pareho sa mga kondisyon ng reaksyon ay direktang nakakaapekto sa pagganap ng produkto at pagsunod sa regulasyon.
Ang mga plug flow reaktor (PFR), sa kabilang banda, ay ang ginustong pagpipilian para sa mga proseso na nangangailangan ng mataas na rate ng conversion, tumpak na kontrol sa mga reaksyon kinetics, at minimal na pag-mix.Ang kanilang disenyo ay ginagawang mahusay sa kanila para sa mga reaksyon ng gas-phase, tulad ng mga ginamit sa paggawa ng ammonia, methanol, at hydrogen, kung saan ang pagpapanatili ng isang kinokontrol na gradient ng konsentrasyon ay mahusay para sa pag-optimize ng ani.Ang mga PFR ay gumaganap din ng papel sa catalytic cracking, isang pangunahing proseso sa industriya ng petrolyo na ginamit upang masira ang mga malalaking molekula ng hydrocarbon sa mas mahalagang mga produkto tulad ng gasolina at diesel.Ang pattern ng daloy ng unidirectional ng PFRS ay sumusuporta sa mataas na kahusayan ng reaksyon sa pamamagitan ng pagtiyak na ang mga reaksyon ay sumailalim sa isang mahuhulaan na pagbabagong -anyo, pag -minimize ng mga reaksyon sa gilid at pagpapabuti ng pagpili.Ang mga PFR ay maaaring idinisenyo bilang mga naka-pack-bed reaktor, kung saan ang mga solidong catalysts o nakabalangkas na mga materyales sa pag-iimpake ay nagpapaganda ng paglipat ng masa at init, na ginagawang perpekto para sa mga catalytic at heterogenous reaksyon.Ang kakayahang umangkop na ito ay nagbibigay -daan sa mga PFR na magamit sa isang malawak na hanay ng mga proseso ng paggawa ng kemikal, kabilang ang mga reaksyon ng oksihenasyon, synthesis ng polimer, at paggawa ng specialty na kemikal.Ang kanilang kakayahang makamit ang mataas na kahusayan ng conversion na may tumpak na kinetic control ay ginagawang core ng mga malalaking pang-industriya na aplikasyon, lalo na sa petrochemical, polymer, at specialty chemical sektor.
Ang derivation ng plug flow reaktor (PFR) equation ay mahalaga upang maunawaan kung paano mahusay na kontrolin ng mga PFR ang mga reaksyon ng kemikal sa pamamagitan ng tumpak na pamamahala ng mga kinetics ng reaksyon, temperatura, at presyon.Ipinapaliwanag ng breakdown na ito ang mga pangunahing prinsipyo at mga hakbang sa matematika na kasangkot sa pagbabalangkas ng equation ng PFR, na nagbibigay ng pananaw sa kung paano nakamit ng mga reaktor na ito ang mataas na rate ng conversion at selectivity.
Ang isang PFR ay nagpapatakbo sa prinsipyo ng tuluy -tuloy at pantay na daloy.Ang mga reaksyon ay pumapasok sa isang dulo at lumipat sa reaktor sa isang paraan na tulad ng plug, na sumusulong nang patuloy patungo sa outlet nang walang pag-back-mix o pagpapakalat ng radial.Ang pattern ng daloy na ito ay katulad ng isang piston na gumagalaw sa isang silindro, kung saan ang bawat segment ng likido ay nagpapanatili ng pagkakakilanlan ng kemikal at umuusbong sa parehong bilis.Tinitiyak ng pantay na kilusang ito na ang bawat segment ng reaktor ay nakakaranas ng parehong oras ng paninirahan, pinapanatili ang pare -pareho na mga kondisyon ng reaksyon.Ang pagkakapare -pareho na ito ay mabuti para sa tumpak na kontrol ng kinetic, na ginagawang epektibo ang mga PFR para sa mga kumplikadong reaksyon na nangangailangan ng tumpak na tiyempo at pamamahala ng konsentrasyon.
Ang operasyon ng isang PFR ay nakasalalay sa pag -aaplay ng balanse ng masa at init sa loob ng isang pagkakaiba -iba ng dami ng reaktor.Sa pamamagitan ng pagsusuri ng isang maliit na hiwa ng likido habang gumagalaw ito sa reaktor, posible na modelo ng mga kinetics ng kemikal at hulaan nang tumpak ang pamamahagi ng produkto.Sa isang mainam na PFR, ang kawalan ng back-mixing at radial dispersion ay nagpapanatili sa bawat segment ng likido, na pinapanatili ang kasaysayan ng kemikal.Ang pattern ng daloy ng unidirectional na ito ay lumilikha ng isang gradient ng konsentrasyon kasama ang haba ng reaktor, bumababa ang mga reaksyon ng reaktor habang tumataas ang mga konsentrasyon ng produkto.Ang gradient na ito ay mahusay na nagtutulak ng reaksyon ng kemikal.Ginagamit ang balanse ng masa upang subaybayan ang pagkonsumo ng mga reaksyon at ang pagbuo ng mga produkto, habang ang mga account sa balanse ng init para sa mga pagbabago sa temperatura na nakakaapekto sa mga rate ng reaksyon.Para sa pagiging simple, ang derivation ay madalas na ipinapalagay ang mga kondisyon ng isothermal, na nakatuon sa balanse ng masa at reaksyon kinetics nang walang pagiging kumplikado ng mga pagkakaiba -iba ng temperatura.
Ang equation ng PFR ay nagmula sa balanse ng masa sa isang pagkakaiba -iba ng dami ng reaktor.Sa ilalim ng mga kondisyon ng isothermal, ang pagbabago sa konsentrasyon ng reaktor kasama ang haba ng reaktor ay balanse sa rate ng reaksyon.Ang pagkakaiba -iba ng form ng equation ng balanse ng masa ay:

Saan:
𝐶𝑖 = Konsentrasyon ng reaksyon 𝑖 sa posisyon 𝑥
𝑥 = Posisyon sa kahabaan ng haba ng reaktor
𝑟 = Rate ng reaksyon, na nakasalalay sa mga reaktor na konsentrasyon at kinetics
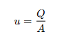
𝑢 = Patuloy na bilis ng likido
Ang equation na ito ay nagpapakita na ang pagbabago sa konsentrasyon ng reaksyon ay direktang nauugnay sa rate ng reaksyon at ang bilis ng likido na gumagalaw sa reaktor.Nagbibigay ito ng isang tumpak na representasyon ng mga kinetikong reaksyon sa loob ng PFR.Upang malutas ang equation ng kaugalian na ito, ang mga kondisyon ng hangganan ay nakatakda sa inlet ng reaktor, kung saan kilala ang paunang konsentrasyon ng bawat reaktor:

Ang pagsasama ay isinasagawa mula sa inlet (𝑥 = 0) hanggang sa outlet (𝑥 = 𝐿), kung saan ang 𝐿 ay ang kabuuang haba ng reaktor.Ang paglutas ng equation sa buong haba na ito ay nagbibigay ng profile ng konsentrasyon ng bawat reaktor dahil gumagalaw ito sa reaktor.Pinapayagan ng profile ng konsentrasyon na ito ang hula ng mga exit concentrations at pangkalahatang pagganap ng reaktor, na tumutulong sa mga reaktor ng disenyo na makamit ang nais na ani ng produkto at selectivity.

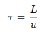
Sa pamamagitan ng pagpapanatili ng isang palaging bilis, tinitiyak ng reaktor na ang lahat ng mga segment ng likido ay may parehong oras ng paninirahan para sa pagkamit ng pare -pareho na mga kondisyon ng reaksyon.Ang ibig sabihin ng oras ng paninirahan (𝜏), isang mahalagang parameter ng disenyo at operasyon, ay kinakalkula ng:

Ang halagang ito ay kumakatawan sa average na oras na ginugol ng isang reaktor sa reaktor.Mabuti para sa pag -tune ng pagganap ng reaktor, lalo na para sa mga mabilis na reaksyon o mga sensitibo sa oras ng pagkakalantad.Sa pamamagitan ng pag -aayos ng 𝜏, maaari mong mai -optimize ang mga rate ng conversion at ani ng produkto.
Ang isang first-order na hindi maibabalik na reaksyon sa isang plug flow reaktor (PFR) ay nagsasangkot ng isang solong reaktor na nabubulok sa isang produkto nang walang anumang paatras na reaksyon.Mahalaga ang uri ng reaksyon na ito sa engineering ng kemikal, dahil modelo ito ng maraming mga proseso ng agnas at isomerization.Sa halimbawang ito, ang reaksyon 𝐴 ay na-convert sa produkto 𝐵 kasunod ng mga first-order kinetics.Ipinapaliwanag ng seksyong ito kung paano pinapahusay ng disenyo ng PFR ang kahusayan at pagpili ng reaksyon.
Sa isang PFR, ang reaksyon ay kinakatawan bilang:
𝐴 → 𝐵
Ipinapahiwatig nito na ang reaksyon 𝐴 ay hindi maibabalik na nagbabago sa produkto 𝐵 ayon sa mga kinetics ng first-order, nangangahulugang ang rate ng reaksyon ay direktang proporsyonal sa konsentrasyon ng 𝐴.Ang simpleng modelong ito ay malawakang ginagamit sa mga pang -industriya na proseso ng kemikal upang matiyak ang kumpletong pag -convert ng 𝐴 hanggang 𝐵 sa ilalim ng tamang mga kondisyon.Ang tuluy-tuloy, unidirectional flow ng PFR na walang back-mixing ay nagbibigay ng isang mainam na kapaligiran para sa mga reaksyon ng first-order.Ang bawat plug ng reaktor ay gumagalaw sa pamamagitan ng reaktor sa isang palaging bilis, pinapanatili ang pagkakakilanlan ng kemikal at nakakaranas ng parehong mga kondisyon ng reaksyon.Sinusuportahan ng pagkakapare -pareho na ito ang mataas na kahusayan ng conversion at tumpak na kontrol sa pagpili ng produkto.Ang namamahala na equation para sa isang first-order na hindi maibabalik na reaksyon sa isang PFR ay nagmula sa isang balanse ng masa sa isang segment ng reaktor ng kaugalian.Ito ay ipinahayag bilang:

Saan:
𝐶𝐴 = Konsentrasyon ng reaksyon 𝐴 sa posisyon 𝑥
𝑥 = Posisyon sa kahabaan ng haba ng reaktor
𝑘 = Pare -pareho ang rate ng reaksyon, na nagpapahiwatig ng bilis ng reaksyon
𝑢 = Patuloy na bilis ng likido sa pamamagitan ng reaktor
Ang equation na ito ay nagpapakita na ang rate ng pagbabago ng konsentrasyon ng 𝐴 kasama ang haba ng reaktor ay nakasalalay sa mga first-order na kinetics, kung saan ang negatibong tanda ay nagpapahiwatig ng pagkonsumo ng 𝐴.Ang kawalan ng back-mixing sa PFR ay nagsisiguro na ang bawat pagkakaiba-iba ng segment ay kumikilos tulad ng isang maliit na reaktor ng batch, pinasimple ang pagmomolde ng matematika ng reaksyon.Upang mahanap ang profile ng konsentrasyon ng 𝐴 kasama ang reaktor, ang kaugalian equation ay isinama sa kondisyon ng hangganan na ang paunang konsentrasyon sa inlet ay kilala:

Ang solusyon sa equation ng kaugalian ay:

Ang equation na ito ay naglalarawan kung paano bumababa ang konsentrasyon ng 𝐴 habang gumagalaw ito sa pamamagitan ng reaktor.Ang rate ng exponential decay na ito ay nakasalalay sa pare -pareho ang rate ng reaksyon (𝑘) at ang tulin ng likido (𝑢).Ang ugnayang ito ay nagpapakita kung paano ang mga parameter ng disenyo ng reaktor tulad ng haba (𝐿), rate ng daloy, at pare -pareho ang rate ng reaksyon, nakakaapekto sa profile ng konsentrasyon.Halimbawa, ang pagtaas ng haba ng reaktor o pagbawas sa rate ng daloy ay nagbibigay ng mas maraming oras ng paninirahan, na nagpapahintulot sa higit na 𝐴 na mag -convert sa 𝐵.Sa kabaligtaran, ang isang mas mataas na rate ng daloy ay binabawasan ang oras ng contact, na nagreresulta sa mas mababang conversion.Ang pangkalahatang kahusayan ng conversion (𝑋) ng reaktor 𝐴 ay tinukoy bilang ang bahagi ng 𝐴 na gumanti sa kahabaan ng haba ng reaktor:

Saan:
𝐿 = Kabuuang haba ng reaktor
𝑋 = Kahusayan ng conversion ng 𝐴
Ang equation na ito ay nagpapakita na ang pagtaas ng haba ng reaktor (𝐿) o ang rate ng pare -pareho (𝑘) ay nagpapabuti sa kahusayan ng conversion, habang ang isang mas mataas na tulin ng likido (𝑢) ay binabawasan ito.Inilalarawan din ng pormula na ito ang pakinabang ng pattern ng daloy ng plug: tinitiyak ng unipormeng oras ng paninirahan na ang lahat ng mga reaksyon ng plug ay nakakaranas ng parehong mga kondisyon ng reaksyon, na humahantong sa mahuhulaan at pare -pareho na mga rate ng conversion.
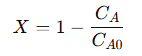
Ang pangalawang-order na hindi maibabalik na reaksyon sa isang plug flow reaktor (PFR) ay nagsasangkot ng isang rate ng reaksyon na nakasalalay sa parisukat ng konsentrasyon ng reaktor.Ang ganitong uri ng reaksyon ay karaniwan sa mga proseso tulad ng polymerization at dimerization.Ang pag -unawa kung paano pinangangasiwaan ng mga PFR ang mga reaksyon na ito ay nakakatulong sa disenyo ng mahusay na mga reaktor na may mataas na rate ng conversion at selectivity.Sa isang PFR, ang isang pangkaraniwang pangalawang-order na hindi maibabalik na reaksyon ay nagsasangkot ng dalawang molekula ng reaktor 𝐴 pagsasama upang makabuo ng isang produkto 𝐵, na kinakatawan bilang:
2a → b
Ang reaksyon na ito ay hindi maibabalik, nangangahulugang isang beses na ang 𝐴 ay na -convert sa 𝐵, hindi ito nagbabalik.Ang tuluy -tuloy, pantay na pattern ng daloy ng PFR ay nagpapabuti sa pagbabagong ito sa pamamagitan ng pagpapanatili ng pare -pareho ang bilis at oras ng paninirahan sa buong reaktor.Tinitiyak ng disenyo na ito na ang bawat plug ng reaktor ay nakakaranas ng parehong mga kondisyon ng reaksyon, pag -maximize ang kahusayan sa conversion.Ang namamahala na equation para sa reaksyon na ito ay nagmula sa isang balanse ng masa sa isang maliit na segment ng reaktor, sa pag-aakalang walang pag-back-mix o pagkakalat ng radial:

Saan:
𝐶𝐴 = Konsentrasyon ng reaksyon 𝐴 sa posisyon 𝑥
𝑥 = Posisyon sa kahabaan ng haba ng reaktor
𝑘 = Rate ng pare -pareho, na nagpapahiwatig ng bilis ng reaksyon
𝑢 = Patuloy na bilis ng likido
Ang kadahilanan ng 2 account para sa stoichiometry, kung saan ang dalawang moles ng 𝐴 ay natupok upang mabuo ang isang nunal ng 𝐵.
Ang equation na ito ay nagpapakita na ang rate ng pagbabago ng konsentrasyon ng 𝐴 ay proporsyonal sa parisukat ng kasalukuyang konsentrasyon nito, isang tanda ng mga ikalawang order na kinetics.Ito ay humahantong sa isang mabilis na pagbaba sa 𝐴 habang ang reaksyon ay umuusbong, lalo na sa mataas na konsentrasyon.Upang mahanap ang profile ng konsentrasyon ng 𝐴 kasama ang reaktor, ang kaugalian equation ay isinama mula sa inlet, kung saan ang paunang konsentrasyon ay 𝐶𝐴0, sa anumang punto 𝑥 kasama ang reaktor:

Ang solusyon na ito ay nagpapakita na ang konsentrasyon ng 𝐴 ay bumababa ng hyperbolically, hindi katulad ng exponential decay na nakikita sa mga reaksyon ng first-order.Ang rate ng pagtanggi na ito ay nakasalalay sa pare -pareho ang rate ng reaksyon (𝑘), ang haba ng reaktor (𝑥), at ang tulin ng likido (𝑢).Ang ugnayang ito ay binibigyang diin ang epekto ng mga parameter ng pagpapatakbo sa konsentrasyon ng reaksyon at pangkalahatang kahusayan ng conversion.Halimbawa:
• Ang pagdaragdag ng haba ng reaktor (𝑥) o ang rate ng pare -pareho (𝑘) ay nagpapabuti sa pag -convert sa pamamagitan ng pagbibigay ng mas maraming oras o pabilis ang reaksyon.
• Ang mas mataas na bilis ng likido (𝑢) ay binabawasan ang oras ng paninirahan, na humahantong sa mas mababang conversion.
Ang modelong ito ay tumutulong na mahulaan kung paano ang mga pagsasaayos sa disenyo ng reaktor at mga kondisyon ng operating ay nakakaimpluwensya sa ani ng produkto at selectivity.
Ang pangkalahatang kahusayan ng conversion (𝑋) ng reaktor 𝐴 ay kinakalkula bilang ang bahagi ng 𝐴 ay nagbago sa produkto 𝐵 kasama ang haba ng reaktor:

Ang pagpapalit ng pinagsamang profile ng konsentrasyon ay nagbibigay:

Saan:
𝐿 = Kabuuang haba ng reaktor
𝐶𝐴0 = Paunang konsentrasyon ng 𝐴
𝑋 = Kahusayan ng conversion ng 𝐴
Ang equation na ito ay nagpapakita na ang kahusayan ng conversion ay nagdaragdag sa:
• Mas mahaba ang haba ng reaktor (𝐿), na nagdaragdag ng oras ng paninirahan.
• Mas mataas na paunang konsentrasyon (𝐶𝐴0), na pinalalaki ang rate ng reaksyon.
• Mas malaking rate ng pare -pareho (𝑘), na nagpapabilis sa reaksyon.
Sa kabaligtaran, ang mas mataas na tulin ng likido (𝑢) ay bumababa ng conversion sa pamamagitan ng pagbabawas ng oras na gumugol ng mga reaktor sa reaktor.Pinapayagan ng mga pananaw na ito na ma -optimize ang pagganap ng reaktor sa pamamagitan ng pag -aayos ng mga rate ng daloy, haba ng reaktor, at mga temperatura ng operating (na nakakaapekto sa 𝑘).
Ang pag-unawa sa pangalawang-order na hindi maibabalik na pag-uugali ng reaksyon ay mabuti para sa pagdidisenyo ng mga plug flow reaktor (PFR) upang ma-maximize ang ani ng produkto habang binabawasan ang basura ng reaktor.Dahil ang mga rate ng reaksyon sa mga kinetics ng pangalawang-order ay nakasalalay sa konsentrasyon ng dalawang reaksyon, ang pag-optimize ng mga parameter ng reaktor ay maaaring makaapekto sa pangkalahatang kahusayan ng conversion.Ang isang pangunahing kadahilanan na nakakaimpluwensya sa pag -convert ay ang haba ng reaktor sa pamamagitan ng pagpapalawak ng haba ng PFR, ang mga reaksyon ay may mas mahabang oras ng paninirahan, na pinapayagan ang reaksyon na magpatuloy pa sa pagkumpleto bago lumabas ng system.Katulad nito, ang pagbawas sa rate ng daloy ay nagdaragdag ng oras ng paninirahan, na nagbibigay ng mas maraming pagkakataon para sa mga reaksyon na makipag -ugnay at bumubuo ng mga nais na produkto.Ang isa pang parameter ay ang temperatura, na direktang nakakaapekto sa pare -pareho ang rate ng reaksyon (𝑘).Ang pagdaragdag ng temperatura ay nagtaas ng pare -pareho ang rate, sa gayon pinabilis ang reaksyon at pagpapabuti ng kahusayan sa conversion.Gayunpaman, dapat mong maingat na balansehin ang mga pagsasaayos ng temperatura upang maiwasan ang mga hindi ginustong mga reaksyon sa gilid o thermal na pagkasira ng mga sensitibong compound.Pinapayagan ng mga alituntuning ito para sa tumpak na kontrol sa mga kondisyon ng reaksyon, pagpapagana ng mga industriya na mag-ayos ng mga operasyon ng PFR para sa mga tiyak na layunin sa paggawa.
Ang kakayahang kontrolin ang mga kinetikong reaksyon ng pangalawang-order na may katumpakan ay kapaki-pakinabang sa mga industriya kung saan ang kalidad ng produkto, pagkakapareho, at kahusayan ay mahusay.Sa mga proseso ng polymerization, halimbawa, ang pagpapanatili ng pinakamainam na konsentrasyon ng monomer sa buong reaktor ay nagsisiguro na ang mga polimer ay nakamit ang pare -pareho na pamamahagi ng timbang ng molekular at kanais -nais na mga pisikal na katangian.Kahit na ang bahagyang pagkakaiba -iba sa mga kondisyon ng konsentrasyon o reaksyon ay maaaring humantong sa hindi pagkakapare -pareho sa istraktura ng polimer, na nakakaapekto sa lakas ng materyal, pagkalastiko, o tibay.Gayundin, sa pinong kemikal at paggawa ng parmasyutiko, ang pagpili ng reaksyon at kadalisayan ay mahusay upang matiyak ang pagiging epektibo at kaligtasan ng produkto.
Ang pagsusuri ng balanse ng masa sa isang plug flow reaktor (PFR) sa ilalim ng mga kondisyon ng matatag na estado ay mabuti para sa pag-unawa sa kahusayan at pag-optimize ng pagganap sa iba't ibang mga proseso ng kemikal.Sa isang PFR, ang mga reaksyon ay patuloy na dumadaloy at pantay mula sa inlet hanggang sa outlet nang walang pag-back-mix o pagpapakalat ng radial.Ang pare -pareho na pattern ng daloy ay nagbibigay -daan sa tumpak na kontrol sa mga reaksyon ng reaksyon at mga rate ng reaksyon, na ginagawang lubos na epektibo ang mga PFR para sa mga kumplikadong reaksyon ng kemikal.
Sa isang plug flow reaktor (PFR), ang paggalaw ng mga reaksyon ay sumusunod sa isang matatag, unidirectional path, tinitiyak na ang bawat indibidwal na elemento ng likido ay nagpapanatili ng pagkakakilanlan ng kemikal at kasaysayan ng reaksyon habang sumusulong ito sa reaktor.Hindi tulad ng mga reaktor na nagtataguyod ng paghahalo, tulad ng patuloy na pinukaw na mga reaktor na tinta (CSTR), ang isang PFR ay nagpapatakbo sa ilalim ng prinsipyo na ang bawat segment ng likido ay nananatiling natatangi, na pumipigil sa pag-ilid ng paghahalo sa mga katabing mga segment.Ang katangian na ito ay nangangahulugang ang mga konsentrasyon ng reaksyon at reaksyon ng mga extent ay patuloy na nag -iiba sa kahabaan ng haba ng reaktor, sa halip na mai -average sa pamamagitan ng magulong paghahalo.Dahil sa paggalaw na tulad ng plug na ito, ang mga reaksyon ay sumailalim sa reaksyon sa ilalim ng mahusay na tinukoy na mga kondisyon sa bawat punto sa reaktor, na nagpapahintulot sa isang mas kinokontrol at mahuhulaan na pagbabagong-anyo mula sa mga reaksyon sa mga produkto.Ang nagresultang konsentrasyon at temperatura gradients kasama ang haba ng reaktor ay may papel sa pamamahala ng mga reaksyon kinetics at pangkalahatang kahusayan ng proseso.
Ang uniporme at mahuhulaan na likas na katangian ng daloy sa isang PFR ay nag -aalok ng natatanging mga pakinabang, lalo na para sa mga reaksyon na lubos na sensitibo sa pagbabagu -bago sa konsentrasyon o temperatura.Sa pamamagitan ng pagtanggal ng back-mixing, tinitiyak ng reaktor na ang oras ng paninirahan para sa bawat molekula ng reaksyon ay tiyak na kinokontrol, na nagpapahintulot sa mas tumpak na mga hula ng pag-unlad ng reaksyon at pagbuo ng produkto.Ang tampok na ito ay kapaki -pakinabang sa pag -optimize ng pagpili ng produkto, dahil ang ilang mga reaksyon ay maaaring pabor sa mga tiyak na kondisyon na maaaring maingat na mapanatili sa buong haba ng reaktor.Ang kawalan ng panloob na paghahalo ay nagpapadali sa pagmomolde ng matematika, na ginagawang mas madali upang mabuo ang mga modelo ng kinetic at mga reaktor ng disenyo para sa maximum na kahusayan.Ang naka -streamline na diskarte sa reaksyon ng engineering ay hindi lamang nagpapabuti sa pagganap ngunit binabawasan din ang pagiging kumplikado na nauugnay sa mga proseso ng pag -scale para sa mga pang -industriya na aplikasyon.
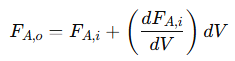
Ang equation ng balanse ng masa para sa isang PFR ay nagmula sa pamamagitan ng pagsusuri ng isang maliit na dami ng pagkakaiba -iba (𝑑𝑉) ng reaktor.Isinasaalang -alang ng pamamaraang ito ang daloy ng reaksyon 𝐴 papasok at labas ng dami na ito, kasama ang rate kung saan ito reaksyon.Sa ilalim ng mga kondisyon ng matatag na estado, walang akumulasyon ng 𝐴 sa loob ng 𝑑𝑉, nangangahulugang ang rate ng pag-agos ay katumbas ng rate ng pag-agos na nababagay para sa halagang natupok ng reaksyon.Ang pangkalahatang equation ng balanse ng masa ay:

Saan:
𝐹𝐴, 𝑖 = Molar flow rate ng reaktor 𝐴 pagpasok sa dami ng pagkakaiba -iba
𝐹𝐴, 𝑜 = Molar flow rate ng 𝐴 nag -iiwan ng dami ng pagkakaiba -iba
𝑟′𝐴 = Rate ng reaksyon bawat dami ng yunit para sa 𝐴
𝑑𝑉 = Elemento ng dami ng pagkakaiba -iba
Ang equation na ito ay nagpapakita na ang pagbaba sa rate ng daloy ng 𝐴 ay dahil sa pagkonsumo nito sa loob ng dami 𝑑𝑉.Dahil walang back-mixing, ang bawat plug ng reaksyon ay nagpapanatili ng konsentrasyon nito habang sumusulong ito, pinapanatili ang pattern ng daloy ng plug.
Upang maiugnay ang rate ng daloy ng molar ng outlet sa rate ng daloy ng inlet, ginagamit ang pagpapatuloy na equation:

Ang pagpapalit nito sa equation ng balanse ng masa ay nagbibigay:

Ipinapakita nito na ang pagbabago sa rate ng daloy ng molar ng 𝐴 ay direktang proporsyonal sa rate ng reaksyon.Ang negatibong pag -sign ay nagpapahiwatig ng pagkonsumo ng 𝐴 dahil ito ay na -convert sa mga produkto.Ang relasyon na ito ay nagha -highlight kung paano nakakaapekto ang rate ng reaksyon sa profile ng konsentrasyon ng 𝐴 kasama ang haba ng reaktor.Ang pagsasama ng equation ng kaugalian na ito kasama ang haba ng reaktor ay nagbibigay ng pangkalahatang expression para sa rate ng reaksyon ng 𝐴:

Ipinapakita nito na ang rate ng reaksyon ay proporsyonal sa pagbabago sa rate ng daloy ng molar ng 𝐴 kasama ang reaktor.Ang negatibong pag -sign ay sumasalamin sa pagbaba ng 𝐴 dahil ito ay reaksyon upang makabuo ng mga produkto.Ang pinagsamang form na ito ng equation ng balanse ng masa ay nagbibigay -daan upang makalkula ang profile ng konsentrasyon ng 𝐴 sa buong reaktor, na nagpapagana ng tumpak na mga hula ng mga ani ng produkto at pangkalahatang kahusayan ng conversion.
Para sa mas kumplikadong mga reaksyon, tulad ng isang reaksyon ng bimolecular 𝐴+𝐵 → 𝐶+𝐷, ang mga equation ng balanse ng masa ay maaaring mapalawak upang account para sa lahat ng mga reaksyon at produkto.Para sa bawat species, ang mga equation ng kaugalian ay:
• Para sa reaksyon 𝐴:

• Para sa reaksyon 𝐵:

• Para sa produkto 𝐶:

• Para sa produkto 𝐷:

Ang mga negatibong palatandaan ay nagpapahiwatig ng pagkonsumo ng mga reaksyon, habang ang mga positibong palatandaan ay nagpapahiwatig ng pagbuo ng mga produkto.Ang mga equation na ito ay nagbibigay ng isang kumpletong balanse ng masa para sa mga kumplikadong network ng reaksyon, na nagpapahintulot sa tumpak na pagmomolde ng mga reaksyon kinetics at pamamahagi ng produkto.
Sa isang plug flow reaktor (PFR), sa pag -aakalang walang pagkakaiba -iba ng daloy ng volumetric na pinapasimple ang pagmomolde ng matematika ng mga reaksyon ng kemikal.Ang palagay na ito ay kapaki-pakinabang para sa mga reaksyon ng gas-phase sa ilalim ng patuloy na temperatura at presyon (isothermal at isobaric na mga kondisyon) at para sa mga reaksyon ng likido-phase kung saan ang density ng likido ay nananatiling pare-pareho.Sa pamamagitan ng pagpapanatili ng isang matatag na rate ng daloy sa buong reaktor, ang mga kalkulasyon para sa reaksyon ng kinetics, kahusayan ng conversion, at pamamahagi ng produkto ay nagiging mas prangka at maaasahan.
Sa pag -aakalang ang volumetric flow rate (𝑄) ay nananatiling pare -pareho sa buong PFR na pinapasimple ang pagsusuri ng mga reaksyon ng kemikal.Tinitiyak ng patuloy na daloy na ito na ang tulin ng likido ay pantay -pantay sa buong haba ng reaktor, na humahantong sa pare -pareho ang mga oras ng paninirahan para sa lahat ng mga elemento ng likido.Ang pagkakapareho na ito ay mabuti para sa pagpapanatili ng pattern ng daloy ng plug, kung saan ang bawat segment ng likido ay sumusulong tulad ng isang piston, nang walang pag-back-mix o pagpapakalat ng radial.
Tinitiyak ng matatag na pattern ng daloy na ang mga pagbabago sa mga konsentrasyon ng reaksyon ay nangyayari lamang sa direksyon ng ehe, mahusay na pagmamaneho ng reaksyon ng kemikal.Pinapanatili din nito ang pagkakakilanlan ng kemikal ng bawat segment ng likido, na nagpapahintulot sa tumpak na kontrol sa mga kondisyon ng reaksyon at kinetics.Ito ay kapaki -pakinabang para sa mga reaksyon na nangangailangan ng tumpak na oras ng paninirahan at kontrol sa temperatura.Sa ilalim ng pag -aakala ng patuloy na daloy ng volumetric, ang rate ng daloy sa anumang punto sa reaktor ay nananatiling pareho mula sa inlet hanggang sa outlet:
Q i = qo = q
Ang kondisyon na ito ng matatag na estado ay nangangahulugan na ang mga parameter ng daloy ay pare-pareho sa buong haba ng reaktor, pinasimple ang equation ng balanse ng masa.Pinapayagan nito ang pagsusuri na tumuon sa mga rate ng daloy ng molar at mga pagbabago sa konsentrasyon ng mga reaksyon at mga produkto nang hindi isinasaalang -alang ang mga pagkakaiba -iba sa bilis o dami.Ang rate ng daloy ng molar ng isang reaksyon 𝐴 sa anumang posisyon 𝑥 kasama ang reaktor ay ibinigay ng:

Saan:
𝐹𝐴, 𝑖 = Molar flow rate ng 𝐴 pagpasok ng elemento ng dami ng pagkakaiba 𝑑𝑉
[A] i = Konsentrasyon ng 𝐴 sa posisyon 𝑥
𝑄 = Patuloy na rate ng daloy ng volumetric
Ang equation na ito ay nag -uugnay sa rate ng daloy ng molar ng reaktor 𝐴 sa konsentrasyon nito at ang rate ng daloy ng volumetric.Sapagkat ang 𝑄 ay pare -pareho, ang mga pagbabago sa 𝐹𝐴, 𝑖 ay direktang nauugnay sa mga pagbabago sa [𝐴] 𝑖.Ang rate ng reaksyon para sa reaksyon 𝐴, na tinukoy ng 𝑟′𝐴, ay naglalarawan ng rate kung saan ang 𝐴 ay natupok sa haba ng reaktor.Ito ay kinakalkula gamit ang pagbabago ng pagkakaiba -iba sa rate ng daloy ng molar:

Ang negatibong pag -sign ay nagpapahiwatig ng pagkonsumo ng reaksyon 𝐴 dahil ito ay nabago sa mga produkto.Ang ugnayang ito ay nagpapakita na ang rate ng reaksyon ay direktang proporsyonal sa gradient ng konsentrasyon kasama ang reaktor.Sapagkat ang 𝑄 ay pare -pareho, ang konsentrasyon ay nagbabago lamang sa direksyon ng ehe, tinitiyak na ang reaksyon ay maayos na lumayo mula sa pasilyo hanggang sa outlet.Ang pattern na unidirectional flow na ito ay nakakatulong na mapanatili ang pare -pareho na mga kondisyon ng reaksyon, na humahantong sa mahuhulaan na ani ng produkto at mataas na kahusayan sa conversion.Sa pamamagitan ng pagsasama ng pagkakaiba -iba ng equation na ito kasama ang haba ng reaktor, posible na makalkula kung paano nagbabago ang konsentrasyon ng 𝐴 mula sa inlet hanggang sa outlet:

Ang pagsasama na ito ay nagbibigay ng isang profile ng konsentrasyon ng 𝐴 kasama ang reaktor, na inihayag kung gaano kalaki ang reaksyon at kung magkano ang nabuo.Ipinapakita rin nito ang epekto ng mga parameter ng disenyo ng reaktor tulad ng haba, rate ng daloy, at patuloy na rate ng reaksyon sa kahusayan ng conversion at pamamahagi ng produkto.Ang pagpapanatiling mga modelo ng matematika ay simpleng nangangahulugang mas kaunting mga variable, na ginagawang mas madali ang mga kalkulasyon at mas mabilis ang mga simulation.Ang tumpak na mga hula ng konsentrasyon ay tumutulong sa mga reaktor ng disenyo para sa maximum na kahusayan at pagpili, na tinitiyak ang pinakamainam na pagganap.Ang mga pare -pareho na oras ng paninirahan at mga rate ng daloy ay nagbibigay -daan para sa tumpak na kontrol sa proseso, na humahantong sa maaasahang kalidad ng produkto.Sa pangkalahatan, sa pag -aakalang walang pagkakaiba -iba ng daloy ng volumetric sa mga PFR na pinapasimple ang pagmomolde ng reaksyon ng kemikal habang pinapanatili ang kawastuhan, ginagawa itong isang mahalagang tool para sa mahusay na disenyo at operasyon ng reaktor.
Ang mga plug flow reaktor (PFR) ay malawakang ginagamit sa pagproseso ng kemikal dahil sa kanilang natatanging disenyo, na nagsisiguro sa tuluy -tuloy at pantay na paggalaw ng mga reaksyon.Ang disenyo na ito ay nagbibigay -daan sa tumpak na kontrol sa mga reaksyon kinetics at oras ng paninirahan, na ginagawang lubos na mahusay ang mga PFR para sa maraming mga proseso ng kemikal.Gayunpaman, mayroon din silang mga limitasyon na dapat isaalang -alang depende sa application.Sinusuri ng seksyong ito ang mga pakinabang at kawalan ng mga PFR.
Ang mga plug flow reaktor (PFR) ay kilala para sa kanilang mataas na kahusayan sa conversion, na nagreresulta mula sa kanilang natatanging mga katangian ng daloy.Hindi tulad ng iba pang mga uri ng reaktor, tinitiyak ng mga PFR na ang mga reaksyon ay lumipat sa isang solong direksyon nang walang anumang pag-mix.Nangangahulugan ito na sa sandaling ang isang elemento ng likido ay pumapasok sa reaktor, patuloy itong dumadaloy nang walang timpla sa iba pang mga bahagi ng likido.Dahil sa kinokontrol na kilusang ito, ang komposisyon ng kemikal sa anumang naibigay na punto sa reaktor ay nananatiling natatangi at mahuhulaan.Ang isang pangunahing bentahe ng matatag na daloy na ito ay ang pag -minimize ng pamamahagi ng oras ng paninirahan, na nangangahulugang ang lahat ng mga partikulo ng reaksyon ay gumugol ng pantay na halaga ng oras sa loob ng reaktor.Bilang isang resulta, ang reaksyon ay nangyayari nang pantay -pantay sa buong haba ng reaktor, pagpapabuti ng kahusayan at gawing kapaki -pakinabang ang mga PFR para sa mga proseso na nangangailangan ng mahigpit na kontrol sa mga kondisyon ng reaksyon.
Ang isa pang kadahilanan para sa mataas na kahusayan ng conversion ng mga PFR ay ang kanilang kakayahang mapanatili ang isang matatag na gradient ng konsentrasyon sa buong reaktor.Dahil ang mga reaksyon ay patuloy na natupok habang sumusulong sila sa pamamagitan ng reaktor, ang konsentrasyon ay unti -unting bumababa kasama ang landas ng daloy, na makakatulong sa pagmaneho ng mga reaksyon sa pagkumpleto nang mas epektibo.Ginagawa nitong mas mahusay ang mga PFR kaysa sa patuloy na hinalo na mga reaktor ng tangke (CSTR), kung saan ang patuloy na paghahalo ay maaaring humantong sa mga pagkakaiba -iba sa konsentrasyon na maaaring mabawasan ang kahusayan ng reaksyon.Para sa mga reaksyon na lubos na sensitibo sa mga pagbabago sa konsentrasyon o nangangailangan ng tumpak na tiyempo, ang mga PFR ay nag -aalok ng kalamangan.Sa pamamagitan ng pagtiyak ng isang pantay na kapaligiran sa reaksyon, makakatulong sila sa pag -optimize ng mga rate ng reaksyon, mabawasan ang mga hindi ginustong mga byproduksyon, at i -maximize ang ani ng produkto.
Ang nakabalangkas na daloy sa mga plug flow reaktor (PFR) ay nagsisiguro na ang mga reaksyon ay patuloy na nakalantad sa parehong mga kondisyon ng reaksyon habang lumilipat sila sa reaktor.Ang matatag at pantay na pagkakalantad na ito ay gumaganap ng isang papel sa pagliit ng pagbuo ng mga hindi ginustong mga produkto, na maaaring negatibong makakaapekto sa kahusayan ng reaksyon.Sa pamamagitan ng pagbabawas ng mga hindi kanais -nais na mga reaksyon sa panig, ang mga PFR ay tumutulong na mapabuti ang pangkalahatang pagpili ng reaksyon, na ginagawang kapaki -pakinabang para sa mga proseso ng kemikal na nangangailangan ng mataas na katumpakan.Mahalaga ito sa mga industriya kung saan kahit na ang maliit na pagkakaiba -iba sa komposisyon ng kemikal ay maaaring humantong sa mga pagkakaiba sa pagganap ng produkto, tulad ng sa paggawa ng mga specialty kemikal at mga produktong parmasyutiko.Dahil ang bawat plug ng reaksyon ay gumagalaw sa parehong bilis at karanasan ng magkaparehong mga kondisyon ng reaksyon, ang reaksyon ay nagpapatuloy sa isang kinokontrol at mahuhulaan na paraan.Ang antas ng pagkakapare -pareho na ito ay nagsisiguro na ang nais na pagbabagong -anyo ng kemikal ay nangyayari tulad ng inilaan, na nagreresulta sa isang mas mataas na ani ng target na produkto habang binabawasan ang pangangailangan para sa mga karagdagang hakbang sa paglilinis.
Ang kakayahan ng mga PFR na magbigay ng isang pantay na kapaligiran sa reaksyon ay direktang nag -aambag sa pinahusay na pagkakapare -pareho ng produkto at pinahusay na kahusayan ng reaksyon.Dahil ang bawat bahagi ng stream ng reaksyon ay sumusunod sa parehong landas at sumailalim sa parehong mga kondisyon ng reaksyon, ang pangwakas na produkto ay nagpapakita ng maaasahan at paulit -ulit na mga katangian.Ito ay kapaki -pakinabang para sa mga proseso kung saan ang pagpapanatili ng mahigpit na kontrol ng kalidad ay mahalaga, dahil kahit na ang bahagyang pagkakaiba -iba sa temperatura, presyon, o konsentrasyon ng reaksyon ay maaaring mabago ang pangwakas na kinalabasan.Ang mataas na antas ng pagpili sa mga PFR ay ginagawang perpekto para sa mga reaksyon na nagsasangkot ng mga sensitibong intermediate species, kung saan kinakailangan ang tumpak na kontrol sa mga reaksyon kinetics.Bilang karagdagan, dahil ang mga PFR ay nagpapatakbo ng isang tuluy -tuloy na daloy, madali silang mai -scale para sa mga pang -industriya na aplikasyon nang hindi nakompromiso ang kahusayan ng reaksyon.Ang scalability na ito, na sinamahan ng kanilang kakayahang mapahusay ang selectivity ng reaksyon, ay ginagawang isang ginustong pagpipilian ang mga PFR para sa maraming mga proseso ng paggawa ng kemikal, tinitiyak ang isang pare-pareho, de-kalidad na output sa iba't ibang mga aplikasyon.
Ang mga plug flow reaktor (PFR) ay nagpapatakbo sa isang tuluy -tuloy na paraan, na nangangahulugang hindi nila kailangang itigil at madalas na mai -restart.Ang patuloy na operasyon na ito ay binabawasan ang downtime, na nagpapahintulot sa mas mataas na mga rate ng produksyon at pinahusay na kahusayan sa pagproseso ng kemikal.Dahil ang mga PFR ay hindi nangangailangan ng mekanikal na pag -iingat, kumonsumo sila ng mas kaunting enerhiya kumpara sa iba pang mga uri ng reaktor na umaasa sa paglipat ng mga bahagi upang maghalo ng mga reaksyon.Ang mas mababang pagkonsumo ng enerhiya ay isinasalin sa nabawasan na mga gastos sa pagpapatakbo, na ginagawang ang mga PFR ay isang mahusay na pagpipilian para sa malakihang paggawa.Ang kanilang kakayahang mapanatili ang matatag na estado ng operasyon ay nagsisiguro na ang mga reaksyon ng kemikal ay nagpapatuloy sa isang mahuhulaan na paraan, na nag-aambag upang maproseso ang katatagan.Ang kawalan ng paglipat ng mga sangkap ay binabawasan din ang mga pangangailangan sa pagpapanatili, pag -minimize ng hindi inaasahang mga breakdown at pagpapahusay ng pangkalahatang pagiging maaasahan.Dahil sa mga pakinabang na ito, ang mga PFR ay malawakang ginagamit sa mga industriya na nangangailangan ng pare-pareho, high-throughput na pagproseso ng kemikal habang pinapanatili ang paggamit ng enerhiya at mga gastos sa pagpapatakbo hangga't maaari.
Ang isa pang pangunahing bentahe ng mga PFR ay ang kanilang kadalian ng pag -scale mula sa mga eksperimento sa laboratoryo hanggang sa buong pang -industriya na paggawa.Dahil ang mga kondisyon ng reaksyon ay nananatiling pantay -pantay sa buong haba ng reaktor, ang pagtaas ng kapasidad ng produksyon ay maaaring makamit sa pamamagitan lamang ng pagpapalawak ng haba ng reaktor o paggamit ng maraming mga kahanay na tubo.Tinitiyak ng scalability na ang mga tagagawa ng kemikal ay maaaring mapalawak ang kanilang mga operasyon nang walang mga pangunahing pagbabago sa disenyo ng reaktor.Ang mahuhulaan na pattern ng daloy sa loob ng isang PFR ay ginagawang mas madali upang makontrol ang mga variable na reaksyon, tinitiyak ang pare -pareho na kalidad ng produkto sa iba't ibang mga kaliskis ng produksyon.Dahil ang bawat bahagi ng mga reaksyon ay gumagalaw sa reaktor nang walang pag-mix, ang proseso ng reaksyon ay nananatiling matatag at uniporme.Ang tampok na ito ay pinapasimple ang pag -optimize ng proseso at nagbibigay -daan para sa mas mahusay na kontrol sa kahusayan ng reaksyon.Bilang isang resulta, ang mga industriya na nangangailangan ng tumpak na kontrol sa mga reaksyon ng kemikal, madalas na pumili ng mga PFR para sa kanilang kakayahang mapanatili ang pagkakapare -pareho at pagiging maaasahan sa parehong maliit at malalaking kaliskis.
Ang disenyo ng daloy ng plug ay tumutulong sa paglipat ng init at masa nang mahusay, na nagpapanatili ng mga reaksyon na matatag, lalo na sa mga proseso na naglalabas o sumipsip ng maraming init.Dahil walang pag-back-back, ang init ay kumakalat nang pantay-pantay sa pamamagitan ng reaktor, na pumipigil sa mga lugar na masyadong mainit o masyadong malamig.Ang pamamahagi ng init na ito ay nagpapanatili ng mga rate ng reaksyon na matatag at nagpapanatili ng mahusay na kalidad ng produkto.Kung ang init ay hindi pantay, maaari itong maging sanhi ng mga problema tulad ng mabagal na reaksyon o mga hindi ginustong mga produkto.Sa pamamagitan ng pagpapanatiling matatag ang temperatura, ang disenyo ng daloy ng plug ay nagpapabuti din sa kaligtasan, binabawasan ang panganib ng mapanganib na sobrang pag -init sa mga reaksyon na naglalabas ng maraming init.Dahil ang reaksyon ay mananatili sa ilalim ng kontrol, tumatakbo ito nang mas maayos at mahusay, na humahantong sa mas mahusay na mga resulta.Tinitiyak din ng disenyo na ito na ang reaksyon ay sumusunod sa isang matatag at mahuhulaan na landas, na nagpapabuti ng kahusayan at pinapanatili ang puro ng produkto.Habang lumilipat ang mga reaksyon sa reaktor, lahat sila ay dumadaan sa parehong mga kondisyon nang hindi naghahalo sa iba pang mga bahagi.Pinapayagan nito para sa mas mahusay na kontrol sa proseso at tinitiyak na ang reaksyon ay nangyayari tulad ng inaasahan.Dahil dito, mas kaunting mga hindi kanais -nais na byproducts form, at higit pa sa nais na produkto ay ginawa.Ang kakayahan ng disenyo ng daloy ng plug na ilipat nang maayos ang init, mapanatili ang matatag na temperatura, at panatilihin ang mga reaksyon na kinokontrol ay ginagawang kapaki -pakinabang para sa mga pang -industriya na proseso kung saan mahalaga ang kalidad at kahusayan.
Ang mga plug flow reaktor (PFR) ay lubhang kapaki -pakinabang dahil maaari silang hawakan ang maraming iba't ibang mga uri ng reaksyon ng kemikal.Gumagana sila nang maayos para sa mga mabilis na reaksyon, hindi maibabalik na reaksyon, at mga reaksyon ng gas-phase dahil ang mga reaksyon ay gumagalaw nang maayos sa pamamagitan ng reaktor sa isang matatag na daloy.Ang mga PFR ay mahusay din para sa mga reaksyon na gumagamit ng mga solidong katalista, dahil tinitiyak ng daloy ng kahit na ang lahat ng mga reaksyon ay nakakakuha ng parehong pagkakalantad sa katalista.Makakatulong ito sa mga reaksyon ng kemikal na mangyari nang mas mahusay at nagbibigay ng mas pare -pareho na mga resulta.Dahil sa mga pakinabang na ito, ang mga PFR ay malawakang ginagamit sa mga industriya tulad ng mga petrochemical at mga parmasyutiko, kung saan kinakailangan ang tumpak na kontrol sa mga reaksyon upang makagawa ng mga de-kalidad na produkto.Ang kanilang kakayahang mapanatili ang mga reaksyon na matatag at mahusay ay ginagawang isang mahalagang tool para sa maraming mga proseso ng kemikal.Ang mga PFR ay kapaki -pakinabang din sa paggawa ng mga polimer dahil pinapanatili nila ang mga konsentrasyon ng monomer sa buong reaksyon.Mahalaga ito para sa paggawa ng mga polimer na may pantay na katangian, tulad ng pare -pareho na lakas at tibay.Ang makinis na daloy sa isang PFR ay binabawasan ang mga pagkakaiba -iba sa oras ng konsentrasyon at reaksyon, na humahantong sa isang mas maaasahang panghuling produkto.Dahil patuloy na nagpapatakbo ang mga PFR, maaari rin silang makatipid ng oras at mapabuti ang kahusayan kumpara sa mga reaktor ng batch.Ang kanilang kakayahang hawakan ang iba't ibang mga reaksyon na may kawastuhan at pagiging maaasahan ay ginagawang mahalaga sa kanila sa maraming mga industriya.Ginamit man para sa catalysis, reaksyon ng gas-phase, o paggawa ng polimer, nag-aalok ang mga PFR ng isang maaasahan at mahusay na paraan upang makontrol ang mga reaksyon ng kemikal at mapanatili ang kalidad ng produkto.
Ang mga plug flow reaktor (PFR) ay pinakamahusay na gumagana para sa mga reaksyon ng kemikal na lumipat sa isang direksyon at hindi na kailangang baligtarin o maabot ang balanse.Ang mga ito ay pinaka -epektibo para sa hindi maibabalik na mga reaksyon, kung saan ang mga reaksyon ay nagiging mga produkto nang hindi bumalik.Dahil ang mga PFR ay may matatag na daloy, ang mga reaksyon ay sumulong nang hindi naghahalo sa mga produkto.Ang pag -setup na ito ay hindi perpekto para sa mga reaksyon na kailangang maabot ang balanse dahil ang kakulangan ng paghahalo ay pinipigilan ang reaksyon mula sa pag -aayos sa kahabaan.Sa mga kasong ito, ang isang PFR ay maaaring hindi pahintulutan ang reaksyon na maabot ang buong potensyal nito, na ginagawang hindi gaanong epektibo para sa ilang mga proseso ng kemikal.Ang ilang mga reaksyon ay nangangailangan ng mas maraming oras at paghahalo upang makuha ang pinakamahusay na mga resulta, ngunit ang mga PFR ay hindi nagbibigay ng kakayahang umangkop.Dahil dito, ang ilang mga reaksyon ay maaaring hindi kumpleto, na humahantong sa mas mababang kahusayan.Para sa mga reaksyon na nangangailangan ng mas mahusay na paghahalo at mas mahabang oras ng reaksyon, ang isang tuluy-tuloy na hinalo-tank reaktor (CSTR) o isa pang uri ng reaktor ay maaaring gumana nang mas mahusay.Patuloy na pinukaw ng mga CSTR ang mga nilalaman, tinitiyak kahit na paghahalo at pinapayagan ang reaksyon na lumipat sa parehong direksyon kung kinakailangan.Ginagawa nitong kapaki -pakinabang ang mga ito para sa mga reaksyon na nangangailangan ng maingat na kontrol upang makuha ang pinakamahusay na ani.Habang ang mga PFR ay mahusay para sa ilang mga reaksyon, maaaring hindi sila ang pinakamahusay na pagpipilian kapag ang isang reaksyon ay nangangailangan ng mas maraming oras upang balansehin o nangangailangan ng patuloy na paghahalo.Ang pagpili ng tamang reaktor ay nakasalalay sa uri ng reaksyon at ang nais na kinalabasan.
Ang mga plug flow reaktor (PFR) ay nangangailangan ng isang matatag at mahusay na halo-halong feed upang mapanatili ang mga rate ng reaksyon at pare-pareho ang kalidad ng produkto.Kung nagbabago ang feed sa konsentrasyon, temperatura, o presyon, maaari itong makaapekto kung gaano kahusay ang gumagana ng reaktor.Ang hindi pantay na kalidad ng feed ay maaaring humantong sa hindi pantay na mga rate ng conversion at pagkakaiba -iba sa panghuling produkto.Sa mga industriya kung saan ang tumpak na kalidad ng produkto ay mahalaga, kahit na ang mga maliliit na pagbabago ay maaaring maging sanhi ng mga problema tulad ng hindi ginustong mga reaksyon sa gilid o mas mababang kahusayan.Upang maiwasan ang mga isyung ito, mahalaga na panatilihing matatag at maayos na kontrolado ang feed.Tinitiyak ng isang maayos na feed na ang reaktor ay nagpapatakbo ng maayos at gumagawa ng maaasahang mga resulta.Ang mga PFR ay lubos na sensitibo sa mga pagbabago sa mga kondisyon ng feed dahil ang anumang pagkakaiba -iba ay direktang nakakaapekto kung paano nangyayari ang reaksyon sa loob ng reaktor.Dahil ang mga reaksyon ay naganap habang ang feed ay gumagalaw, ang anumang pagbabago sa mga pag -aari nito ay maaaring humantong sa hindi pantay na pagproseso at hindi mahuhulaan na mga resulta.Upang maiwasan ito, dapat na maingat na subaybayan at kontrolin ng mga operator ang feed.Ang mga pagbabago sa temperatura, pagbabago ng presyon, o mga impurities ay maaaring makagambala sa reaksyon at mabawasan ang kahusayan.Ang paggamit ng mga advanced na sistema ng pagsubaybay ay nakakatulong na mapanatili ang matatag na mga kondisyon, tinitiyak ang mas mahusay na pagganap, mas mataas na kalidad ng produkto, at mas kaunting mga problema sa paggawa.
Sa mga naka-pack na bed plug flow reaktor (PFR), ang mga solidong catalyst o mga materyales sa pag-iimpake ay tumutulong sa pagmaneho ng mga reaksyon ng kemikal.Gayunpaman, ang pag -channel ay maaaring mangyari kapag ang daloy ng mga reaksyon ay hindi kumalat nang pantay -pantay sa pamamagitan ng naka -pack na kama.Sa halip na dumaloy nang pantay, ang mga reaksyon ay maaaring kumuha ng ilang mga landas, laktawan ang mga bahagi ng katalista.Nagdudulot ito ng isang hindi pantay na reaksyon, kung saan ang ilang mga lugar ay gumagana nang mahusay habang ang iba ay hindi.Bilang isang resulta, ang ilang mga reaksyon ay dumadaan sa reaktor nang hindi ganap na tumutugon, binabawasan ang pangkalahatang kahusayan.Dahil ang mga PFR ay nangangailangan ng kahit na daloy para sa pinakamahusay na pagganap, ang pag -channel ay maaaring maging isang malaking problema, lalo na sa mga industriya na nangangailangan ng mataas na rate ng conversion.Ang pag -channeling ay humahantong sa hindi pantay na mga rate ng reaksyon at mas mababang pangkalahatang kahusayan.Kapag ang mga bahagi ng kama ng katalista ay lumipas, mas kaunting mga reaksyon ang makakapagbago sa mga produkto, na humahantong sa mga nasayang na materyales at mas mababang ani.Upang maiwasan ito, dapat kang magdisenyo ng mga reaktor nang mabuti.Maaari silang gumamit ng pantay na pag -iimpake, mga namamahagi ng daloy, o mga espesyal na istruktura upang maikalat ang daloy nang pantay -pantay.Ang wastong disenyo ay tumutulong na mabawasan ang pag -channel, na ginagawang mas mahusay at pagpapabuti ng reaktor ng reaktor.
Kahit na ang mga plug flow reaktor (PFR) ay may isang simpleng disenyo, na ginagawang mas malaki o pagdidisenyo ng mga ito para sa malakihang paggamit ay maaaring maging nakakalito.Kapag masukat ang isang PFR, kailangan nilang tiyakin na ang daloy ng mga materyales ay mananatiling maayos at na ang mga kondisyon ng reaksyon ay mananatiling pareho sa buong reaktor.Nangangailangan ito ng maingat na mga kalkulasyon upang maunawaan kung paano gumagalaw ang mga likido, kung paano kumalat ang init, at kung gaano kabilis ang mga reaksyon na nangyayari sa loob ng system.Ang mga kadahilanan na ito ay nagiging mas mahalaga sa malalaking mga setting ng pang -industriya, kung saan ang mga maliliit na pagbabago sa daloy o temperatura ay maaaring makaapekto sa kahusayan at kalidad ng produkto.Kung ang isang PFR ay hindi naka -scale nang maayos, maaaring hindi ito gumana pati na rin inaasahan, na humahantong sa mga problema sa paggawa.Upang masukat ang isang PFR, madalas na gawin itong mas mahaba o mag -set up ng maraming mga reaktor na magkatabi.Gayunpaman, ang pagtaas lamang ng laki ay hindi sapat.Dapat nilang maingat na ayusin ang mga rate ng daloy upang matiyak na ang mga materyales ay lumipat sa tamang bilis para makumpleto ang reaksyon.Ang mga pagbabago sa presyon sa loob ng reaktor ay kailangan ding kontrolin upang maiwasan ang mga problema sa daloy.Ang isa pang isyu ay ang paglipat ng init dahil ang mas malaking reaktor ay maaaring magpumilit upang mapanatili ang isang temperatura, na maaaring maging sanhi ng mga bahagi ng reaktor na overheat o palamig nang labis.Marami ang gumagamit ng mga advanced na pamamaraan upang pamahalaan ang mga salik na ito upang ang mas malaking reaktor ay gumagana pati na rin ang orihinal na mas maliit na bersyon.
Ang mga plug flow reaktor (PFR) ay maaaring bumuo ng fouling, na nangyayari kapag ang mga solidong materyales ay bumubuo sa loob ng reaktor.Ang mga deposito na ito ay maaaring magmula sa mga tira na reaksyon, byproducts, o mga impurities sa feed.Sa paglipas ng panahon, ang pag -fouling ay maaaring hadlangan ang daloy ng mga materyales at gawing mas epektibo ang paglipat ng init.Dahil ang kontrol sa temperatura ay mahalaga para sa mga reaksyon, maaari itong pabagalin o baguhin ang proseso ng reaksyon, pagbabawas ng kahusayan.Upang maiwasan ito, kinakailangan ang regular na paglilinis, ngunit maaari itong magastos at maaaring mangailangan ng paghinto o pagbagal ng mga operasyon.Kung hindi pinamamahalaan ang fouling, maaari rin itong maging sanhi ng pangmatagalang pinsala sa mga bahagi ng reaktor, na humahantong sa mas mamahaling pag-aayos.Bukod sa pag -aalsa, ang mga PFR ay maaari ring harapin ang mga blockage o pagkagambala sa daloy.Ang mga reaktor na ito ay nangangailangan ng isang matatag na paggalaw ng mga materyales, kaya ang anumang pagbara ay maaaring maging sanhi ng mga problema.Ang mga blockage ay maaaring magmula sa mga solidong partikulo, mga isyu sa kagamitan, o mga pagbabago sa komposisyon ng feed.Kapag nangyari ito, maaaring magbago ang presyon, at ang reaksyon ay maaaring hindi makumpleto nang maayos, na humahantong sa mas mababang kalidad ng produkto.Ang hindi pantay na daloy ay maaari ring makaapekto sa mga antas ng temperatura at konsentrasyon sa loob ng reaktor, na ginagawang mas mahusay ang proseso.Upang maiwasan ang mga problemang ito, kinakailangan ang patuloy na pagsubaybay.Maraming mga system ang gumagamit ng mga sensor at kontrol upang masubaybayan ang pagganap, ngunit ang mga ito ay nagdaragdag sa mga gastos sa pagpapatakbo.Sa kabila ng mga hamong ito, ang regular na pagpapanatili at maingat na pagsubaybay ay tumutulong na panatilihing maayos at mahusay ang mga PFR.
Ang mga plug flow reaktor (PFR) ay malawakang ginagamit sa kemikal na engineering dahil sa kanilang kahusayan at kakayahang umangkop.Tinitiyak ng kanilang disenyo ang unidirectional flow at pare -pareho ang mga oras ng paninirahan, na nagpapahintulot sa tumpak na kontrol sa mga reaksyon kinetics at pamamahagi ng produkto.Ginagawa nitong angkop ang mga ito para sa iba't ibang mga reaksyon ng kemikal, kabilang ang gas-phase, likido-phase, heterogenous, at homogenous system.Ang kanilang scalability at pagiging epektibo ay mahalaga sa malakihang paggawa ng industriya.
Ang mga plug flow reaktor (PFR) ay mahalaga sa paggawa ng malaking halaga ng mga kemikal tulad ng sulfuric acid, ethylene oxide, at methanol.Pinapayagan ng kanilang disenyo ang mga kemikal na patuloy na dumaloy, na nagpapabilis ng mga reaksyon at pinatataas ang produksyon.Ito ay kapaki -pakinabang para sa mga industriya na kailangang gumawa ng mataas na dami ng mga kemikal nang mabilis.Ang mga PFR ay nagbibigay ng matatag na mga kondisyon ng reaksyon, tinitiyak na ang pangwakas na produkto ay dalisay at pare -pareho sa kalidad.Sa pamamagitan ng pagpapanatiling matatag ang mga rate ng reaksyon at pagbabawas ng mga hindi ginustong mga produkto, ang mga PFR ay tumutulong na ma-maximize ang kahusayan sa produksyon.Ang pagiging maaasahan na ito ay mahusay para sa mga industriya na nakasalalay sa tumpak na mga proseso ng kemikal upang makabuo ng maraming dami nang mahusay at sa isang mas mababang gastos.Ginagawa din ng mga PFR ang paggawa ng kemikal na mas mahusay sa pamamagitan ng pagpigil sa back-mixing at pagpapanatiling uniporme ang mga reaksyon.Ang kanilang matatag na daloy ay nagbibigay -daan para sa mas mahusay na kontrol sa mga kondisyon ng reaksyon, pagbabawas ng pangangailangan para sa labis na mga hakbang sa paglilinis.Pinapababa nito ang mga gastos sa produksyon at binabawasan ang basura, na ginagawang mas napapanatiling operasyon.Dahil sa kanilang kakayahang makagawa ng mga kemikal nang mabilis, palagiang, at may kaunting basura, ang mga PFR ay malawakang ginagamit sa mga industriya na nangangailangan ng paggawa ng mataas na dami ng kemikal.Ang kanilang disenyo ay ginagawang isang ginustong pagpipilian para sa mga kumpanya na naghahanap upang mapabuti ang kahusayan at kalidad ng produkto habang pinapanatili ang mga gastos sa ilalim ng kontrol.
Sa industriya ng petrochemical, ang mga plug flow reaktor (PFR) ay karaniwang ginagamit para sa pagpipino ng mga proseso tulad ng catalytic cracking at hydrogenation.Ang kanilang tumpak na kontrol sa mga kondisyon ng reaksyon ay nagbibigay -daan sa mahusay na paggawa ng mga mahalagang kemikal tulad ng ethylene, propylene, at butadiene, na ginagamit sa paggawa ng mga plastik at sintetikong materyales.Dahil ang proseso ng PFRS ay nagpapatuloy ng mataas na dami ng hydrocarbons, tumutulong sila sa mga refineries na gumana nang maayos at mapanatili ang kalidad ng produkto.Ang unidirectional flow sa PFRS ay pumipigil sa back-mix, na pinapanatili ang kadalisayan ng mga reaksyon at pagpapabuti ng pangkalahatang kahusayan.Ang isa pang bentahe ng mga PFR sa pagproseso ng petrochemical ay ang kanilang kakayahang hawakan nang epektibo ang init, na mahalaga para sa mga reaksyon na nakakapinoo na may mataas na temperatura.Sa pamamagitan ng pagpapanatili ng matatag na temperatura at presyon, ang mga PFR ay tumutulong sa pag-maximize ng mga ani habang binabawasan ang mga hindi ginustong mga produkto.Ginagawa din ng kanilang disenyo ang mga ito ay madaling iakma para sa parehong mga operasyon ng malakihang pagpino at dalubhasang produksiyon ng petrochemical.Dahil sa kanilang kahusayan, pagiging maaasahan, at kakayahang maproseso ang malaking halaga ng materyal nang walang pagkagambala, ang mga PFR ay may papel sa industriya ng petrochemical, na tumutulong sa mga refineries na matugunan ang pandaigdigang demand habang pinapabuti ang kahusayan ng enerhiya.
Ang mga plug flow reaktor (PFR) ay malawakang ginagamit sa paggawa ng mga gamot, lalo na sa paggawa ng mga aktibong sangkap na parmasyutiko (API).Ang kanilang kakayahang mapanatili ang tumpak na mga kondisyon ng reaksyon ay nagsisiguro na ang mga gamot ay ginawa na may mataas na kadalisayan at pagkakapare -pareho.Dahil ang lahat ng mga molekula sa isang PFR ay nakakaranas ng parehong mga kondisyon ng reaksyon, may mas kaunting mga pagkakaiba -iba sa kalidad ng produkto.Mahalaga ito sa industriya ng parmasyutiko, kung saan ang mahigpit na mga regulasyon ay nangangailangan ng pare-pareho at de-kalidad na paggawa ng gamot.Sa pamamagitan ng pagbabawas ng pagbuo ng mga hindi kanais-nais na mga produkto, ang mga PFR ay tumutulong din sa pag-maximize ng ani, tinitiyak na ang mga mamahaling hilaw na materyales ay ginagamit nang mahusay.Ang mga PFR ay nagpapabuti din sa paggawa ng parmasyutiko sa pamamagitan ng pagpapagana ng patuloy na paggawa sa halip na pagproseso ng batch.Binabawasan nito ang pagkakaiba -iba sa pagitan ng iba't ibang mga pagpapatakbo ng produksyon at nagdaragdag ng kahusayan.Ang matatag na daloy ng mga reaksyon sa mga PFR ay ginagawang perpekto para sa paggawa ng mga espesyalista na gamot na nangangailangan ng tumpak na kontrol sa mga oras ng reaksyon at kundisyon.Sinusuportahan ng mga PFR ang mga modernong pamamaraan sa pagmamanupaktura tulad ng patuloy na daloy ng kimika, na tumutulong sa mga kumpanya na mabawasan ang basura at mas mababang gastos habang natutugunan ang mahigpit na pamantayan sa kalidad at kaligtasan.Dahil sa mga benepisyo na ito, ang mga PFR ay isang mahalagang teknolohiya sa paggawa ng parmasyutiko.
Ang mga plug flow reaktor (PFR) ay lubos na epektibo sa mga reaksyon ng catalytic, kung saan ang mga reaksyon ay dapat magkaroon ng pakikipag -ugnay sa mga catalysts para sa pinakamahusay na mga resulta.Tinitiyak ng kanilang matatag na daloy na ang mga reaksyon ay pumasa nang pantay sa ibabaw ng mga catalytic na ibabaw, pagpapabuti ng bilis ng reaksyon at kahusayan.Ito ay kapaki -pakinabang sa mga pang -industriya na proseso tulad ng hydrogenation at oksihenasyon, kung saan ang tumpak na kontrol ng reaksyon ay humahantong sa mas mataas na ani.Dahil ang mga PFR ay nagpapanatili ng matatag na mga kondisyon, ang mga catalysts ay tumagal nang mas mahaba, binabawasan ang mga gastos at pagpapabuti ng pangkalahatang pagganap.Sa pamamagitan ng pagpigil sa hindi pantay na paghahalo, binabawasan din ng mga PFR ang mga hindi ginustong mga reaksyon sa gilid, na ginagawa silang isang ginustong pagpipilian para sa mga industriya na umaasa sa mga proseso ng catalytic.Pinahusay din ng mga PFR ang malalaking sukat na catalytic na produksiyon sa pamamagitan ng pag-optimize ng mga kondisyon ng reaksyon at pagbabawas ng basura.Pinapayagan ng kanilang disenyo ang mas mahusay na temperatura at kontrol ng presyon, na humahantong sa mas mahusay na paggamit ng mga catalysts.Mahalaga ito para sa mga industriya tulad ng petrochemical, parmasyutiko, at pinong kemikal, kung saan kahit na ang maliit na pagpapabuti sa kahusayan ay maaaring makaapekto sa mga gastos at kalidad ng produkto.Dahil sa kanilang kakayahang i -maximize ang pagganap ng katalista habang binabawasan ang paggamit ng basura at enerhiya, ang mga PFR ay may papel sa mga reaksyon ng pang -industriya na catalytic.
Ang mga plug flow reaktor (PFR) ay mahalaga sa proteksyon sa kapaligiran, lalo na para sa pagbabawas ng polusyon at pagpapagamot ng basurang pang -industriya.Karaniwang ginagamit ang mga ito sa paggamot ng flue gas, kung saan ang mga nakakapinsalang paglabas tulad ng asupre dioxide at nitrogen oxides ay na -convert sa mas ligtas na mga compound.Ang mga PFR ay gumaganap din ng papel sa paggamot ng wastewater sa pamamagitan ng pagbagsak ng mga mapanganib na kemikal sa hindi gaanong nakakapinsalang mga produkto.Ang kanilang patuloy na disenyo ng daloy ay nagsisiguro ng mahusay na pag -alis ng pollutant, na tumutulong sa mga industriya na matugunan ang mga regulasyon sa kapaligiran habang binabawasan ang mga gastos sa pagpapatakbo.Bilang karagdagan sa kontrol ng polusyon, sinusuportahan ng mga PFR ang pagpapanatili sa pamamagitan ng pagpapabuti ng kahusayan ng enerhiya at pagbabawas ng basura.Ang kanilang kakayahang iproseso ang malalaking dami ng basurang pang-industriya na patuloy na ginagawang isang maaasahang solusyon para sa malakihang pamamahala ng kapaligiran.Sa pamamagitan ng pagsasama ng teknolohiya ng PFR, ang mga industriya ay maaaring mabawasan ang kanilang epekto sa kapaligiran habang pinapanatili ang mahusay na paggawa.Habang lumalaki ang mga alalahanin tungkol sa polusyon at pagbabago ng klima, ang mga PFR ay nagiging isang mahalagang tool para sa mga industriya na naghahanap ng mas malinis at mas napapanatiling mga solusyon sa pagmamanupaktura.
Maaaring hawakan ng mga PFR ang parehong mga heterogenous at homogenous na reaksyon, na ginagawang lubos na maraming nalalaman sa synthesis ng kemikal.Ang mga ito ay kapaki -pakinabang para sa kumplikadong mga organikong syntheses na nangangailangan ng tumpak na thermal control at materyal na paghawak.In heterogenous reaksyon, ang pantay na pattern ng daloy ay nagsisiguro kahit na ang pakikipag -ugnay sa pagitan ng mga reaksyon at solidong catalysts, pag -maximize ang mga rate ng conversion at pagpili ng produkto.Sa mga homogenous reaksyon, ang pare -pareho na mga oras ng paninirahan ay nagpapanatili ng matatag na reaksyon kinetics, pagpapahusay ng ani at kalidad ng produkto.Ang kakayahang ito ay ginagawang angkop sa mga PFR para sa isang malawak na hanay ng mga proseso ng kemikal, mula sa mga pangunahing kemikal na kalakal hanggang sa kumplikadong pinong kemikal at parmasyutiko.Ang kanilang tumpak na kontrol sa mga kondisyon ng reaksyon ay nagbibigay-daan sa synthesis ng mga produktong may mataas na kadalisayan na may kaunting mga by-product.
Ang mga PFR ay ginagamit sa paggawa ng mga pinong kemikal, kung saan kinakailangan ang mataas na kadalisayan at tiyak na mga landas ng reaksyon.Nagbibigay ang mga ito ng tumpak na kontrol sa temperatura, presyon, at oras ng paninirahan, tinitiyak ang pare -pareho ang kalidad ng produkto at ani.Ang katumpakan na ito ay mahusay sa paggawa ng mga tina, pabango, specialty coatings, at iba pang mga pinong kemikal na nangangailangan ng mahigpit na pamantayan ng kalidad.Ang mga PFR ay mabawasan ang pagbuo ng by-product at mapahusay ang pagpili ng reaksyon, pag-optimize ng paggamit ng hilaw na materyal at pagbabawas ng basura.Pinapayagan din ng kanilang scalability ang mga pinong tagagawa ng kemikal na mahusay na paglipat mula sa maliit na scale na synthesis ng laboratoryo hanggang sa buong pang-industriya na produksiyon habang pinapanatili ang pagkakapare-pareho ng produkto.
Ang mga plug flow reaktor ay sobrang kapaki -pakinabang para sa pamamahala ng mga reaksyon ng kemikal na may katumpakan.Nagtatrabaho sila sa pamamagitan ng pagpapanatili ng lahat ng paglipat sa isang direksyon, na tumutulong na makakuha ng mas maraming produkto sa parehong dami ng mga kemikal at pinapanatili ang ligtas at pare -pareho ang mga bagay.Lalo silang mabuti para sa mga malalaking pang -industriya na trabaho kung saan kailangan mong gumawa ng maraming produkto nang hindi nag -aaksaya ng mga materyales o enerhiya.Gayunpaman, hindi sila perpekto para sa bawat sitwasyon, kung minsan ay hindi sila naghahalo ng sapat para sa ilang mga reaksyon, at maaari silang maging sensitibo sa mga pagbabago sa mga materyales na ginagamit nila.Ngunit sa pangkalahatan, ang mga PFR ay isang go-to na pagpipilian para sa maraming mga proseso ng pagmamanupaktura dahil balansehin nila ang kahusayan na may pagiging epektibo, pinapanatili ang mga industriya na tumatakbo nang maayos at matipid.
Mangyaring magpadala ng isang pagtatanong, tutugon kami kaagad.
Ang prinsipyo ng isang plug flow reaktor (PFR) ay ang mga reaksyon ay dumadaloy sa pamamagitan ng isang cylindrical pipe sa isang paraan kung saan ang lahat ng mga elemento ng likido ay lumipat sa reaktor sa parehong bilis, na walang paghahalo sa direksyon ng daloy.Nagreresulta ito sa bawat segment ng pagpasok ng likido at paglabas ng reaktor sa iba't ibang oras, mahalagang pagpapanatili ng isang "plug" ng likido na gumagalaw sa reaktor.Ang rate ng konsentrasyon at reaksyon ay nag-iiba sa kahabaan ng haba ng reaktor ngunit pare-pareho sa anumang cross-section na patayo sa daloy.
Ang isang pangunahing tampok ng isang plug flow reaktor ay ang kakayahang mapanatili ang isang matatag na gradient ng reaktor na konsentrasyon mula sa inlet hanggang sa outlet.Tinitiyak nito na ang reaksyon ay umuusbong bilang isang serye ng mga infinitesimally maliit na batch reaktor na sunud -sunod kasama ang haba ng tubo.Ang pag -setup na ito ay nagbibigay ng tumpak na kontrol sa mga oras ng reaksyon at kundisyon, na mainam para sa mga reaksyon na sensitibo sa oras ng paninirahan.
Ang mga plug flow reaktor (PFR) ay malawakang ginagamit sa mga industriya kung saan ang tumpak na kontrol sa mga oras ng reaksyon ay mabuti para sa kahusayan at kalidad ng produkto.Sa paggawa ng kemikal, pinapayagan ng mga PFR para sa patuloy na paglikha ng mga kemikal, tinitiyak ang pantay na mga katangian ng produkto sa pamamagitan ng matatag na daloy at mga kondisyon ng reaksyon.Mahalaga ang mga ito sa mga proseso ng petrochemical, tulad ng pag-crack ng hydrocarbon upang makabuo ng etilena at iba pang mga olefins, kung saan ang eksaktong tiyempo at temperatura ay susi sa pag-maximize ng mga ani at pagbabawas ng mga produkto.Sa paggawa ng parmasyutiko, ang mga PFR ay mahalaga para sa synthesis ng droga.Ang tumpak na kontrol na inaalok nila sa mga oras ng reaksyon at kundisyon ay tumutulong na matiyak na ang mga parmasyutiko ay dalisay at sapat na magbubunga, na pinakamahusay para sa kaligtasan ng pasyente at pagiging epektibo ng droga.Ginagamit din ang mga PFR sa paggamot sa tubig, partikular sa klorasyon ng tubig, upang epektibong disimpektahin habang kinokontrol ang pagkakalantad ng kemikal at pagliit ng labis na paggamit.
Ang isang plug flow digester ay nagpapatakbo sa prinsipyo na katulad ng isang PFR ngunit partikular na idinisenyo para sa anaerobic digestion ng mga organikong materyales.Sa pag -setup na ito, ang organikong basura ay patuloy na pinakain sa isang dulo ng isang selyadong, pahalang na reaktor.Habang ang basura ay gumagalaw sa pamamagitan ng reaktor, ang mga microorganism ay digest ang organikong bagay, na gumagawa ng biogas (methane at carbon dioxide).Ang digester ay nagpapanatili ng isang pantay na daloy na pumipigil sa paghahalo at tinitiyak na ang bawat segment ng basura ay may pare -pareho na oras ng pagpapanatili, pag -optimize ng paggawa ng gas at pag -minimize ng hindi nasayang na basura.
Ang paggamit ng isang plug flow reaktor (PFR) ay nagpapabuti sa mga proseso ng kemikal sa pamamagitan ng pag -aalok ng mataas na kahusayan ng conversion, nangangahulugang ginagamit nito ang lahat ng mga reaksyon upang ma -maximize ang output.Ang mga PFR ay nagpapanatili ng tumpak na kontrol sa temperatura, pagpapalakas ng mga rate ng reaksyon at ani.Ang mga ito ay nasusukat, na nagpapahintulot sa madaling paglipat mula sa mga maliliit na pag-setup ng lab sa malakihang produksiyon ng pang-industriya nang hindi nakakaapekto sa kalidad ng proseso.Pinipigilan ng mga PFR ang pag-back-mix, kailangan para sa mga proseso na nangangailangan ng sunud-sunod na reaksyon nang walang pagkagambala.Pinapabilis nila ang paggawa sa pamamagitan ng pagpapanatili ng mga reaksyon na patuloy na gumagalaw patungo sa pagkumpleto, pagbabawas ng pangkalahatang oras ng reaksyon at mga gastos sa pagputol.
sa 2025/03/4
sa 2025/03/3
sa 8000/04/18 147757
sa 2000/04/18 111936
sa 1600/04/18 111349
sa 0400/04/18 83721
sa 1970/01/1 79508
sa 1970/01/1 66905
sa 1970/01/1 63032
sa 1970/01/1 63012
sa 1970/01/1 54081
sa 1970/01/1 52125