
Kontrol ng bilis ng motor Nangangahulugan ng pag -aayos kung gaano kabilis ang isang motor na umiikot upang matugunan ang eksaktong mga pangangailangan ng isang gawain.Ito ay hindi lamang tungkol sa pagbabago ng bilis nang random, ito ay tungkol sa pagtutugma ng pag -uugali ng motor sa kung ano ang hinihiling ng system sa anumang sandali.Ang kakayahang ito sa bilis ng maayos na pag-tune ay nagpapabuti sa kahusayan ng enerhiya, nagpapalawak ng buhay ng kagamitan sa pamamagitan ng pagbabawas ng mekanikal na stress, at tinitiyak ang mas mahusay na kawastuhan sa mga operasyon.Halimbawa, maaaring kailanganin ng isang conveyor para sa maselan na mga item o pabilis kung malinaw ang linya.Ang mga de -koryenteng motor ay madalas na umangkop sa pagbabago ng mga naglo -load, gawain, o kapaligiran.Nang walang nababagay na bilis, ang mga motor ay tatakbo lamang sa isang nakapirming bilis, na ginagawang hindi gaanong kapaki -pakinabang at hindi gaanong mahusay.
Ang bilis ay kinokontrol sa pamamagitan ng pag -aayos ng de -koryenteng input.Sa AC motor, ito ay karaniwang nangangahulugang pagbabago ng dalas ng power supply.Sa mga motor ng DC, ang mga pagbabago sa boltahe ay mas karaniwan.Ang ilang mga system ay gumagamit din ng mga sensor ng feedback upang masubaybayan ang pagganap at gumawa ng mga pagsasaayos.Ang feedback loop na ito ay nakakatulong na mapanatili ang pare -pareho na bilis kahit na nag -iiba ang mga naglo -load.Ang mga saklaw ng control ng bilis mula sa mga pangunahing resistors sa mga matatandang sistema hanggang sa mga advanced na digital controller gamit ang mga microprocessors at sopistikadong algorithm.Ang mga mas bagong pamamaraan na ito ay nagpapahintulot sa mga motor na tumugon nang maayos at tumpak sa pagbabago ng mga kondisyon.
Ang bilis ng motor ng AC ay nakasalalay sa dalawang bagay: ang dalas ng kapangyarihan ng AC at ang bilang ng mga pole sa motor.Upang mabago ang bilis, binabago namin ang dalas.Iyon ay kung saan pumapasok ang variable frequency drive (VFD). Ang isang VFD ay nagko-convert ng nakapirming-dalas na kapangyarihan ng AC sa DC, pinapagpalit ito, at pagkatapos ay i-convert ito sa AC sa nais na dalas.Pinapayagan nito ang bilis ng motor na nababagay sa katumpakan.Sa pamamagitan ng pagkontrol sa parehong dalas at boltahe, ang mga VFD ay maaaring pamahalaan ang metalikang kuwintas ng motor at bilis nang mas mahusay.

Larawan 2. I -block ang diagram ng isang sistema ng kontrol ng bilis ng motor ng AC
Ang mga modernong variable frequency drive (VFD) ay lampas lamang sa pag-aayos ng bilis ng motor sa pamamagitan ng pagsasama ng mga advanced na pamamaraan ng kontrol tulad ng control ng vector, na naghihiwalay sa metalikang kuwintas at pagkilos ng bagay para sa mahusay na nakatutok na pagganap, at direktang kontrol ng metalikang kuwintas (DTC), na nagbibigay ng mabilis at tumpak na mga pagsasaayos ng metalikang kuwintas.Ang mga kakayahan na ito ay nagbibigay -daan sa mga motor na mapabilis, mabulok, at mapanatili ang mga naglo -load nang mahusay nang hindi nangangailangan ng karagdagang mga mekanikal na sangkap o idinagdag na stress.Ang mga tampok tulad ng malambot na pagsisimula ng mga pag-andar, built-in na labis na proteksyon, at mga advanced na diagnostic ay gumawa ng mga VFD na mahalaga sa isang malawak na hanay ng mga aplikasyon, mula sa mga halaman ng paggamot sa tubig hanggang sa mga sistema ng elevator.
Ang mga motor ng DC ay madalas na pinili kapag mabilis, tumpak na mga pagbabago sa bilis ay kinakailangan.Ang kanilang bilis ay nagbabago nang direkta sa boltahe na inilalapat sa armature.Ang pag -load ay nakakaapekto sa bilis, ang pagtaas ng pag -load ay karaniwang nagpapabagal sa motor.Ang pinaka -mahusay na pamamaraan ngayon ay ang PWM.Gumagamit ito ng mga pulses na may mataas na dalas na boltahe na may nababagay na mga lapad upang makontrol ang average na boltahe na naihatid sa motor.Pinapayagan nito ang tumpak na kontrol ng bilis na may mababang pagkawala ng kuryente.

Larawan 3. I -block ang diagram ng isang sistema ng kontrol ng bilis ng motor ng DC
Ang iba pang mga pamamaraan ng control ay kasama ang control control, kung saan ang pag -aayos ng kasalukuyang sa magnetic field ay nagbabago ng bilis ng motor, binabawasan ang patlang na nagdaragdag ng bilis ngunit bumababa ang metalikang kuwintas;Armature control control, isang simple ngunit hindi mahusay na pamamaraan na nagdaragdag ng pagtutol upang mabawasan ang boltahe at bilis;at closed-loop control, na gumagamit ng mga sensor upang masubaybayan ang bilis at awtomatikong ayusin ang boltahe o kasalukuyang upang mapanatili ang pare-pareho na pagganap sa ilalim ng iba't ibang mga naglo-load.Dahil sa kanilang mataas na katumpakan at pagtugon, ang mga motor ng DC ay karaniwang ginagamit sa mga robotics, kagamitan sa medikal, at mga tool na pinapagana ng baterya.
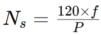
Ang mga diskarte sa kontrol ng bilis ng motor ng AC ay batay sa pormula para sa kasabay na bilis:

Saan:
• Ang ns ay kasabay na bilis (sa rpm)
• Ang F ay dalas ng supply ng AC (sa Hz)
• P ay bilang ng mga pole ng motor
Sa pamamagitan ng pag -iiba ng dalas ng supply, ang bilis ng motor ay maaaring nababagay, na nakamit gamit ang variable frequency drive (VFD).Mayroong dalawang pangunahing uri ng kontrol ng VFD: kontrol ng scalar (v/f), na nagpapanatili ng isang palaging ratio ng boltahe-sa-dalas at simple at matatag para sa mga pangunahing aplikasyon;at kontrol ng vector, na naghihiwalay sa mga bahagi ng metalikang kuwintas at magnetic flux upang payagan ang mas tumpak at tumutugon na kontrol, lalo na sa mababang bilis.Ang mas advanced na mga sistema ay nagsasama ng control na walang sensor, tinantya ang posisyon ng motor nang hindi nangangailangan ng mga pisikal na sensor.Bilang karagdagan, ang mga pag -andar ng VFD ay sumusuporta sa mga pag -andar tulad ng kinokontrol na pagbilis (ramping), paglilimita ng metalikang kuwintas, at pagpepreno, na ginagawang lubos na angkop para sa hinihingi na mga aplikasyon tulad ng mga elevator, cranes, at CNC machine.
Ang bilis ng motor ng DC ay pinamamahalaan ng relasyon,

Saan:
• V ay armature boltahe
• Ang IA ay kasalukuyang armature
• Ang RA ay armature resistance
• Ang φ ay magnetic flux
Kabilang sa iba't ibang mga diskarte sa kontrol ng bilis, ang Pulse Width Modulation (PWM) ay nananatiling pinaka -epektibo dahil sa kahusayan at pagtugon nito.Ang iba pang mga pamamaraan ay may kasamang pagpapahina ng flux, na nagdaragdag ng bilis sa pamamagitan ng pagbabawas ng lakas ng magnetic field na angkop sa mga sitwasyon kung saan katanggap -tanggap ang mas mababang metalikang kuwintas;armature control control, na kung saan ay mas simple ngunit hindi gaanong mahusay dahil sa pagkalugi ng enerhiya;at closed-loop control na may feedback, na gumagamit ng mga sensor tulad ng mga encoder o tachogenerator upang magbigay ng tumpak at agpang regulasyon ng bilis.
Kontrol ng boltahe: Ang pamamaraang ito ay nagpapabagal sa motor sa pamamagitan ng pagbabawas ng boltahe ng supply na inilalapat sa mga paikot -ikot na stator.Habang bumababa ang boltahe, bumababa ang lakas ng magnetic field, na nagreresulta sa mas mababang metalikang kuwintas at bilis.Habang ang pagiging simple ng pamamaraang ito ay ginagawang kaakit -akit para sa mga pangunahing aplikasyon, lalo na sa mga fan o pump load, sa pangkalahatan ay hindi epektibo dahil ang motor ay patuloy na gumuhit ng mataas na kasalukuyang kahit na sa nabawasan na bilis, na humahantong sa pagtaas ng pagkalugi ng init at enerhiya.Nakalaan ito para sa mga operasyon ng light-duty kung saan hindi kinakailangan ang tumpak na kontrol.
Frequency Control (VFDS): Ang Variable Frequency Drives (VFD) Ayusin ang parehong boltahe at dalas na ibinibigay sa motor, na nagpapahintulot sa tumpak at mahusay na kontrol ng bilis at metalikang kuwintas.Sa pamamagitan ng pagpapanatili ng isang palaging volts-per-hertz ratio, pinapanatili ng mga VFD ang magnetic balanse ng motor at mga katangian ng metalikang kuwintas sa isang malawak na saklaw ng bilis.Ang pamamaraang ito ay malawakang ginagamit sa mga modernong pang -industriya at komersyal na aplikasyon dahil sa kahusayan ng enerhiya, kakayahang umangkop, at kakayahang hawakan nang maayos ang iba't ibang mga kondisyon ng pag -load.
Pagbabago ng poste)Sa pamamagitan ng pagbabago ng bilang ng poste, ang kasabay na bilis ng motor ay nagbabago sa mga hakbang na discrete (hal., Mula sa 2-poste hanggang 4-post na operasyon), na pinapayagan ang motor na tumakbo sa iba't ibang mga nakapirming bilis.Ang pamamaraang ito ay nagbibigay ng isang simple at matatag na paraan upang makamit ang kontrol ng multi-speed nang hindi nangangailangan ng panlabas na electronics, kahit na ito ay limitado sa mga paunang natukoy na mga setting ng bilis at walang makinis na pagkakaiba-iba.
Panlabas na Rotor Resistance : Ang pamamaraan na ito ay nagsasangkot ng pagdaragdag ng mga variable na resistors sa rotor circuit sa pamamagitan ng mga slip singsing at brushes.Sa pamamagitan ng pagtaas ng paglaban ng rotor, nadagdagan ang slip, na nagpapababa sa bilis ng rotor at nagbibigay ng mas mahusay na kontrol ng metalikang kuwintas, kapaki -pakinabang sa panahon ng pagsisimula o para sa mga naglo -load na nangangailangan ng variable na metalikang kuwintas.Gayunpaman, ang isang bahagi ng elektrikal na enerhiya ay natatanggal bilang init sa mga panlabas na resistors, na ginagawang hindi epektibo ang pamamaraan para sa patuloy na paggamit.
Kontrol ng Cascade: Sa pag -setup na ito, ang dalawang motor ay mekanikal na kaisa, at ang isang motor (ang pangalawang o pandiwang pantulong na motor) ay elektrikal na konektado sa rotor circuit ng pangunahing (pangunahing) motor.Ang pag -aayos na ito ay nagbibigay -daan sa pagbabahagi ng kuryente at kontrol ng bilis sa mga nakapirming hakbang, depende sa disenyo ng elektrikal at mekanikal na link.Bagaman medyo kumplikado at hindi gaanong karaniwan sa mga modernong sistema, ang kontrol ng kaskad ay isang epektibong paraan upang pamahalaan ang mga malalaking naglo -load at mga intermediate na bilis sa legacy na pang -industriya na makinarya.
Iniksyon ng EMF: Ang iniksyon ng Electromotive Force (EMF), na ginagamit sa mga system tulad ng Kramer at Scherbius drive, ay nagsasangkot ng pag -iniksyon ng isang kinokontrol na boltahe ng tiyak na dalas at phase sa rotor circuit.Nagbabago ito ng dalas ng slip ng rotor at nagbibigay-daan sa variable na bilis ng operasyon na may mas mahusay na kahusayan kaysa sa mga pamamaraan ng paglaban.Ang mga drive na ito ay angkop para sa mga application na may mataas na kapangyarihan kung saan ang tumpak na regulasyon ng bilis at pagbawi ng enerhiya ay mahalaga, tulad ng sa malalaking compressor, bomba, o mills.
Kontrol ng patlang: Ang pamamaraang ito ay nagsasangkot ng pagpasok ng isang variable na risistor sa serye na may patlang na paikot -ikot ng isang DC shunt motor.Sa pamamagitan ng pagtaas ng pagtutol, ang kasalukuyang sa pamamagitan ng paikot -ikot na patlang ay bumababa, na nagpapahina sa magnetic flux.Ayon sa bilis ng equation ng isang DC motor, ang isang pagbawas sa flux ay humahantong sa isang pagtaas ng bilis, sa pag -aakalang patuloy na boltahe ng armature.Ang kontrol sa patlang ay medyo mahusay para sa pagtaas ng bilis sa itaas ng na -rate na halaga.Gayunpaman, dahil ang pagpapahina ng patlang ay binabawasan din ang metalikang kuwintas at maaaring maging sanhi ng kawalang -tatag o overspeeding, ang pamamaraang ito ay dapat mailapat nang may pag -aalaga at madalas na nangangailangan ng mga panukalang proteksiyon.
Kontrol ng boltahe ng armature: Sa pamamaraang ito, ang boltahe na ibinibigay sa armature ay direktang nag -iiba habang pinapanatili ang pare -pareho ang flux ng patlang.Ang pagbaba ng armature boltahe ay binabawasan ang bilis at metalikang kuwintas.Ang pamamaraan na ito ay prangka upang maipatupad at pinapayagan ang makinis na kontrol sa ibaba ng rate ng rate.Gayunpaman, hindi gaanong mahusay ang enerhiya, lalo na sa ilalim ng pag -load, dahil ang anumang labis na enerhiya ay madalas na natatanggal bilang init sa mga resistors ng control o sa mga electronics ng kuryente.
Sistema ng Ward-Leonard: Ang klasikong sistema ng control na ito ay gumagamit ng isang set ng motor-generator (M-G), kung saan ang isang variable na boltahe ay ginawa sa pamamagitan ng pagkontrol sa output ng isang generator ng DC na hinimok ng isang AC o DC motor.Ang nabuong boltahe ay pinakain sa armature ng shunt motor, na nagpapahintulot sa pagmultahin at tuluy -tuloy na kontrol sa isang malawak na saklaw ng bilis sa parehong direksyon.Bagaman magastos at napakalaki, ang sistema ng ward-leonard ay naghahatid ng mahusay na pagganap sa mga tuntunin ng kontrol ng metalikang kuwintas at regulasyon ng bilis, na ginagawang perpekto para sa hinihingi na mga aplikasyon tulad ng mga hoists ng elevator, mga gumulong mill, at mga pagpindot sa pag-print.
Field Diverter: Ang isang risistor (diverter) ay konektado kahanay sa serye ng patlang na paikot -ikot.Pinapayagan nito ang isang bahagi ng kasalukuyang upang makaligtaan ang paikot -ikot na patlang, nagpapahina sa magnetic flux at pagtaas ng bilis ng motor.Ang pamamaraang ito ay nagbibigay ng isang pangunahing anyo ng kontrol ng bilis, at kapaki -pakinabang sa mga aplikasyon tulad ng traksyon kung saan kinakailangan ang pansamantalang bilis ng bilis.Gayunpaman, binabawasan nito ang metalikang kuwintas at dapat na balanse nang maingat upang maiwasan ang kawalang -tatag o sobrang pag -init ng motor.
Armature Diverter : Sa pamamagitan ng paglalagay ng isang risistor na kahanay sa armature circuit, ang kasalukuyang pamamahagi sa pagitan ng armature at patlang ay maaaring mabago.Ang pagsasaayos na ito ay nagbabago sa katangian ng bilis ng metalikang kuwintas ng motor.Ito ay isang mas nakakainis na pamamaraan kaysa sa mga diverter ng patlang, na nagpapahintulot sa mas mahusay na kontrol sa metalikang kuwintas, ngunit ipinakikilala nito ang pagiging kumplikado at nangangailangan ng maingat na pag -tune upang maiwasan ang mga pagkalugi o pinsala sa pagganap.
Tapped Field & Re-grouping: Ang pamamaraang ito ay nagbabago ng lakas ng magnetic field sa pamamagitan ng pagbabago ng bilang ng mga aktibong lumiliko sa paikot -ikot na patlang.Sa pamamagitan ng paggamit ng mga tap sa paikot-ikot o pag-aayos ng mga koneksyon (muling pag-grouping), ang iba't ibang mga magnetic na pagsasaayos ay maaaring mapili upang ilipat ang curve ng bilis ng bilis.Nagbibigay ito ng mga nakapirming bilis ng mga hakbang at karaniwang ginagamit sa kagamitan kung saan ang mga mahuhulaan na pagbabago sa bilis ay sapat, tulad ng mga cranes o hoists.
Resistive control: Isang pangunahing pamamaraan kung saan ang mga panlabas na resistors ay idinagdag sa serye na may motor upang i -drop ang boltahe at bawasan ang bilis.Habang simple at murang, ang pamamaraang ito ay lubos na hindi epektibo dahil ang karamihan sa elektrikal na enerhiya ay nawala bilang init.Karaniwang ginagamit lamang ito sa mga murang gastos o mas matandang mga sistema kung saan ang kahusayan ay hindi pangunahing pag-aalala.
Serye-kahanay na kontrol: Sa pamamaraang ito, dalawa o higit pang mga serye na motor ang konektado alinman sa serye o kahanay.Sa serye, ibinabahagi nila ang parehong kasalukuyang at nagpapatakbo sa mas mababang bilis na may mas mataas na metalikang kuwintas;Kaayon, nagpapatakbo sila sa mas mataas na bilis na may nabawasan na metalikang kuwintas.Ang pamamaraan ng control na ito ay nagbibigay -daan sa mga pagbabago sa hakbang sa bilis at karaniwang matatagpuan sa mga sistema ng electric traction tulad ng mga tram at tren, kung saan kinakailangan ang simple at maaasahang kontrol ng bilis.
Industriya
Sa mga setting ng pang -industriya, ang kontrol ng bilis ng motor ng AC ay gumaganap ng isang papel sa pag -optimize ng mga proseso na kinasasangkutan ng mga conveyor, mixer, pump, at iba pang mga mekanikal na sistema.Sa pamamagitan ng tumpak na pag -regulate ng bilis ng motor gamit ang mga aparato tulad ng variable frequency drive (VFD), ang mga operasyon ay maaaring mai -tono para sa mga tiyak na mga kinakailangan sa paggawa, na humahantong sa pinahusay na kawastuhan ng proseso, nabawasan ang mekanikal na stress, at pag -save ng enerhiya.Halimbawa, ang pagbagal ng isang conveyor belt sa panahon ng inspeksyon ng produkto o malumanay na ramping up ang isang panghalo ay binabawasan ang pagsusuot at nagpapahusay ng kaligtasan.Ang kakayahang umangkop na ito ay nagpapabuti sa pangkalahatang kahusayan at pinalawak ang habang -buhay ng makinarya.
HVAC
Ang mga sistema ng pag-init, bentilasyon, at air conditioning (HVAC) ay nakikinabang nang malaki mula sa mga motor na kinokontrol ng bilis sa mga tagahanga, blower, at compressor.Sa pamamagitan ng pag -aayos ng bilis ng motor bilang tugon sa mga kondisyon ng kapaligiran at mga kahilingan sa system, ang pagkonsumo ng enerhiya ay nabawasan, lalo na sa mga variable na sitwasyon ng pag -load tulad ng pagbabagu -bago ng temperatura o mga pagbabago sa trabaho.Pinapayagan ng mga VFD para sa malambot na pagsisimula at maayos na modyul na modulation ng airflow at mga siklo ng pagpapalamig, na humahantong sa mas tahimik na operasyon, pinahusay na kaginhawaan, at mas mababang mga gastos sa pagpapatakbo sa parehong mga tirahan at komersyal na mga gusali.
Home Appliance
Ang mga modernong kagamitan sa bahay tulad ng mga washing machine, refrigerator, at mga makinang panghugas ay lalong gumagamit ng mga motor na kinokontrol ng bilis ng AC upang mapabuti ang kahusayan sa pagganap at enerhiya.Halimbawa, ang mga variable na bilis ng motor sa mga washing machine ay nagbibigay-daan sa iba't ibang mga siklo ng paghuhugas na may na-optimize na agitation at bilis ng pag-ikot, pagbabawas ng ingay at panginginig ng boses.Sa mga refrigerator, ang mga compressor na may kontrol ng bilis ay maaaring ayusin ang mga siklo ng paglamig nang mas maayos, pinapanatili ang pare -pareho na temperatura na may mas kaunting paggamit ng enerhiya.
Smart Infrastructure
Sa mga matalinong gusali at sistema ng transportasyon, ang kontrol ng bilis ng motor ng AC ay mahalaga sa pamamahala ng mga elevator, escalator, paglipat ng mga daanan, at awtomatikong mga pintuan.Ang mga sistemang ito ay madalas na gumagamit ng mga intelihenteng motor controller na nakikipag -ugnay sa mga sistema ng pamamahala ng gusali (BMS) o mga network ng IoT upang magbigay ng kontrol, diagnostic, at pagsubaybay sa enerhiya.Halimbawa, ang mga elevator ay maaaring ayusin ang mga profile ng pagbilis at pagkabulok batay sa pag -load ng pasahero o demand sa sahig, pagpapabuti ng kaginhawaan sa pagsakay at paggamit ng enerhiya.Ang mga Escalator ay maaaring pabagalin o i -pause kapag hindi ginagamit, binabawasan ang pagkonsumo ng kuryente at pag -align sa mga layunin ng pagpapanatili sa disenyo ng modernong imprastraktura.
Robotics
Ang mga motor ng DC ay malawakang ginagamit sa mga robotics dahil sa kanilang kakayahang magbigay ng mabilis na tugon at tumpak na bilis at kontrol sa posisyon.Sa tulong ng Pulse-Width Modulation (PWM) at mga sistema ng feedback tulad ng mga encoder, ang mga robotic system ay maaaring makamit ang pinong grained na kilusan na kinakailangan para sa mga gawain tulad ng pagmamanipula ng object, nabigasyon, at koordinasyon.Mahalaga ang pagtugon na ito sa mga aplikasyon na mula sa pang -industriya na robotic arm hanggang sa mga autonomous mobile robot.
Mga de -koryenteng sasakyan
Sa mga de -koryenteng sasakyan (EV), ang kontrol ng bilis ng motor ng DC ay mabuti para sa makinis na pagpabilis, pagkabulok, at pangkalahatang pagganap ng drive.Sa pamamagitan ng pag -aayos ng boltahe at kasalukuyang ibinibigay sa motor, ang mga sasakyan ay maaaring lumipat nang walang putol sa pagitan ng iba't ibang mga antas ng bilis at metalikang kuwintas, pagpapahusay ng kaginhawaan at kontrol sa pagmamaneho.Ang mga regenerative system ng pagpepreno ay gumagamit ng kinokontrol na operasyon ng motor ng DC upang mai -convert ang enerhiya ng kinetic pabalik sa elektrikal na enerhiya sa panahon ng pagpepreno, pagpapabuti ng pangkalahatang kahusayan at pagpapalawak ng buhay ng baterya.Ang mga tampok na ito ay ginagawang perpekto ang DC Motors para sa parehong dalawang gulong at apat na gulong na mga sistema ng transportasyon ng kuryente.
Mga aparato ng consumer
Ang mga motor ng DC ay nasa gitna ng maraming mga compact at portable na aparato ng consumer, kabilang ang mga tool ng kuryente, mga hair dryers, mga tagahanga ng paglamig ng computer, at maliit na kagamitan sa kusina.Ang kontrol ng bilis sa mga application na ito ay nagsisiguro sa pinakamainam na pagganap, kaligtasan, at kahusayan ng enerhiya.Halimbawa, sa mga power drills, pinapayagan ng variable-speed trigger na ayusin ang metalikang kuwintas at bilis para sa iba't ibang mga materyales, habang sa mga tagahanga, ang pagkakaiba-iba ng bilis ay nagbibigay ng mas mahusay na kaginhawaan at kontrol sa ingay.Ang disenyo ng compact at kadalian ng electronic control ay ginagawang angkop ang mga motor na DC para sa mga aparato na pinapagana ng baterya.
Kagamitan sa Medikal at Lab
Ang mga instrumento sa medikal at laboratoryo ay nangangailangan ng lubos na kinokontrol, tahimik, at maaasahang operasyon ng motor.Ang mga motor ng DC na may tumpak na kontrol sa bilis ay ginagamit sa mga kagamitan tulad ng mga bomba ng pagbubuhos, sentripuges, mga tool sa kirurhiko, at mga awtomatikong analyzer.Ang mga application na ito ay humihiling ng tahimik na operasyon upang maiwasan ang nakakagambala na mga sensitibong kapaligiran, kasama ang tumpak na kontrol ng paggalaw para sa tumpak na paghahatid o pagsukat ng mga likido, mga sample, o paggalaw ng kirurhiko.Ang mga brush na DC Motors (BLDC) ay pinapaboran para sa kanilang mababang ingay, mababang pagpapanatili, at pare -pareho ang pagganap.
|
Tampok |
AC motor |
DC Motor |
|
Mapagkukunan ng kuryente |
Gumagamit ng alternating kasalukuyang (AC) |
Gumagamit ng Direct Current (DC) |
|
Kung paano kinokontrol ang bilis |
Ang mga pagbabago sa bilis sa pamamagitan ng pag -aayos ng dalas na may isang variable
Frequency Drive (VFD) |
Ang mga pagbabago sa bilis sa pamamagitan ng pag -aayos ng boltahe o kasalukuyang patlang |
|
Kontrolin ang pagiging kumplikado |
Mas kumplikado: Kailangan ang mga VFD, kontrol ng vector, kung minsan
sensor |
Mas simple: Gumagamit ng mga pagbabago sa boltahe, PWM, o kontrol sa patlang |
|
Oras ng pagtugon |
Mas mabagal na tugon dahil sa pagkaantala ng VFD |
Mabilis na tugon, lalo na sa digital control |
|
Simula ng metalikang kuwintas |
Mababa nang walang mga espesyal na pamamaraan ng kontrol |
Mataas na panimulang metalikang kuwintas bilang default |
|
Metalikang kuwintas sa iba't ibang bilis |
Ang metalikang kuwintas ay maaaring bumaba sa mababang bilis |
Nagpapanatili ng malakas na metalikang kuwintas sa lahat ng bilis |
|
Bilis ng katatagan |
Mabuti sa mga closed-loop system;hindi gaanong matatag nang wala |
Napakahusay na kontrol at katatagan sa lahat ng bilis |
|
Saklaw ng bilis |
Limitado ng disenyo ng drive at motor |
Malawak na saklaw mula sa napakababa hanggang sa mataas na bilis |
|
Mga pangangailangan sa pagpapanatili |
Mababa: Walang brushes o commutator |
Mas mataas: Ang mga brushes ay pagod maliban kung walang brush |
|
Tibay sa malupit na mga kapaligiran |
Mas masungit at mas mahusay para sa mga mahihirap na kondisyon |
Ang mga brushed motor ay hindi gaanong matibay sa mga magaspang na kapaligiran |
|
Pag -init ng init |
Madalas na binuo gamit ang mga sistema ng paglamig |
Maaaring overheat kung hindi maayos na pinalamig |
|
Ingay at panghihimasok (EMI) |
Maaaring makagawa ng mga de -koryenteng ingay (EMI);Kailangan ng pag -filter |
Ang mga brushed motor ay gumawa ng ingay;walang brush ay mas tahimik |
|
Mga pangangailangan ng power supply |
Gumagana nang direkta sa AC Mains (hal., 120V o 240V) |
Kailangan ng supply ng DC o converter mula sa AC |
|
Pagbabalik ng direksyon |
Nangangailangan ng programming sa VFD |
Madali: baligtarin lamang ang polaridad o gumamit ng isang H-tulay |
|
Regenerative braking |
Kumplikado at mamahaling i -set up |
Madali at mahusay, ginamit sa mga EV at robotics |
|
Pagbawi ng enerhiya |
Posible sa mga advanced na VFD |
Naturally sumusuporta sa pagbawi ng enerhiya |
|
Pagsasama ng Digital Control |
Nag -uugnay sa mga system tulad ng PLC sa pamamagitan ng VFD |
Madaling kontrolado ng mga microcontroller |
|
Kahusayan
|
Napakahusay sa matatag na bilis |
Napakahusay na may variable na bilis o madalas
Nagsisimula/huminto |
|
Sukat ng control system |
Ang mga VFD ay maaaring malaki at kailangan ng paglamig |
Ang mga Controller ng DC ay maliit at madaling i -install |
Ang pagkontrol sa bilis ng motor ay napakahalaga sa mga makina at aparato ngayon.Tumutulong ito na makatipid ng enerhiya, ginagawang mas mahaba ang mga makina, at pinapanatili itong maayos na tumatakbo.Ang mga motor ng AC ay madalas na gumagamit ng mga VFD upang mabago ang bilis sa pamamagitan ng pag -aayos ng dalas ng kapangyarihan.Ang DC Motors ay nagbabago ng bilis sa pamamagitan ng pag-aayos ng boltahe o paggamit ng mabilis na on-off signal (PWM).Ang mga pamamaraan na ito ay nagpapahintulot sa mga makina na gawin ang kanilang mga trabaho nang mas mahusay, kung ito ay isang malaking makina ng pabrika, isang air conditioner, o isang braso ng robot.Ang mga motor ng AC ay mahusay para sa mabibigat na trabaho at pangmatagalang paggamit, habang ang mga motor ng DC ay mas mahusay kung kinakailangan ang mabilis at tumpak na paggalaw.Sa pamamagitan ng paggamit ng tamang paraan ng kontrol ng bilis, tinitiyak namin na ligtas na gumagana ang mga makina, mahusay, at eksakto kung paano natin ito kailangan.
Mangyaring magpadala ng isang pagtatanong, tutugon kami kaagad.
Ang lakas ay higit na nakasalalay sa disenyo ng motor kaysa sa uri (AC o DC).Gayunpaman, para sa parehong laki at rating ng boltahe, ang mga motor ng AC ay mas malakas dahil maaari silang hawakan ang mas mataas na naglo-load at itinayo para sa tuluy-tuloy, mabibigat na paggamit.Ang mga pang-industriya na motor ng AC tulad ng three-phase induction motor ay karaniwan sa mga pabrika dahil maaari silang magmaneho ng malalaking makina nang maaasahan.Sa kabilang banda, ang mga motor ng DC ay nag-aalok ng mas tumpak na bilis at kontrol ng metalikang kuwintas, ngunit karaniwang ginagamit ito sa mas maliit, mas dalubhasang mga aplikasyon tulad ng mga robotics, kung saan ang paggalaw ng maayos na paggalaw ay mas mahalaga kaysa sa hilaw na kapangyarihan.
Ang mga motor ng DC ay karaniwang nakakamit ng mas mataas na RPM (mga rebolusyon bawat minuto) kaysa sa mga motor ng AC, lalo na ang maliit na permanenteng magnet o walang brush na DC motor.Iyon ay dahil ang mga motor ng DC ay hindi umaasa sa dalas ng linya ng kuryente at maaaring mas mabilis na paikutin sa pamamagitan lamang ng pagtaas ng boltahe.Ang bilis ng motor ng AC, gayunpaman, ay nakatali sa dalas ng pag -input at bilang ng mga pole, kaya mas limitado ito maliban kung ginagamit ang mga advanced na VFD.Ang mga motor ng DC ay madalas na ginagamit kung saan kinakailangan ang pagganap ng high-speed, tulad ng sa mga tool ng kuryente, drone, o mga aparatong medikal.
Hindi lagi.Ang mga motor ng AC ay mas mahaba sa mga mabibigat na kapaligiran.Ito ay dahil ang karamihan sa mga motor ng AC, lalo na ang mga uri ng induction, ay may mas kaunting mga gumagalaw na bahagi at walang mga brushes, na nangangahulugang mas kaunting pagsusuot sa paglipas ng panahon.Ang mga brushed DC motor ay mas mabilis na nagsusuot dahil sa alitan sa pagitan ng mga brushes at commutator.Gayunpaman, ang mga brushless DC motor (BLDC) ay may mahabang habang buhay na katulad ng AC motor at maaasahan sa mga aparato na may mababang lakas o katumpakan.Kaya, nakasalalay ito sa uri ng motor ng DC at kung paano ito ginagamit.
Ang mga motor ng AC ay maaaring maging mas mahirap kontrolin dahil ang pagbabago ng kanilang bilis ay nangangailangan ng mga kumplikadong aparato tulad ng mga VFD.Hindi rin sila mabilis na tumugon upang makontrol ang mga signal, na ginagawang hindi gaanong perpekto para sa mga gawain na nangangailangan ng mabilis na mga pagbabago sa bilis.Ang mga motor ng DC, lalo na ang mga brush, ay nangangailangan ng higit na pagpapanatili dahil sa pagsusuot ng brush.Maaari rin silang maging mas mahusay sa mataas na antas ng kuryente at nangangailangan ng mga electronic controller tulad ng mga circuit ng PWM para sa kontrol ng bilis.Bilang karagdagan, madalas na hindi nila mahawakan ang mga malalaking naglo -load pati na rin ang mga motor ng AC nang hindi naging napakalaki o sobrang pag -init.
Para sa mga motor ng AC, ang variable frequency drive (VFD) ay ginagamit upang baguhin ang bilis sa pamamagitan ng pag -aayos ng dalas at boltahe ng supply ng kuryente.Para sa mga motor ng DC, ang modyul ng lapad ng pulso (PWM) ay ang pinaka -karaniwang pamamaraan, kung saan ang bilis ay nababagay sa pamamagitan ng mabilis na paglipat ng boltahe at off upang makontrol ang paghahatid ng kuryente.Sa parehong mga kaso, ang mga closed-loop control system ay maaaring maidagdag gamit ang mga sensor upang masubaybayan ang bilis ng motor at awtomatikong ayusin ito, na nag-aalok ng pare-pareho at tumpak na operasyon sa iba't ibang mga naglo-load.
sa 2025/05/21
sa 2025/05/20
sa 8000/04/18 147757
sa 2000/04/18 111936
sa 1600/04/18 111349
sa 0400/04/18 83721
sa 1970/01/1 79508
sa 1970/01/1 66905
sa 1970/01/1 63031
sa 1970/01/1 63012
sa 1970/01/1 54081
sa 1970/01/1 52125